Open Access
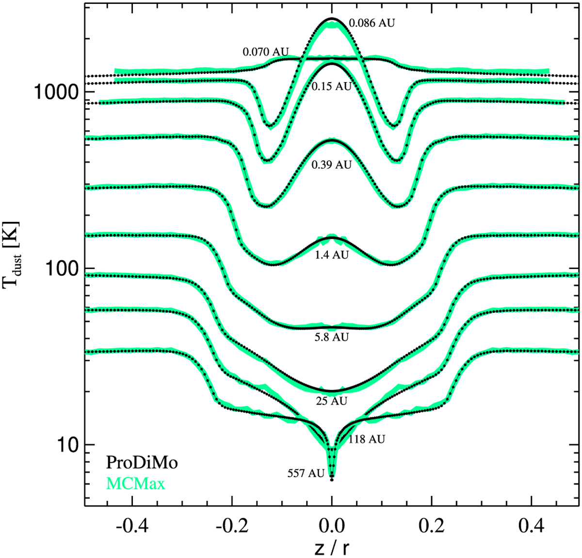
Fig. A.2

Download original image
Benchmark test for a viscous circumstellar disk with a disk mass of 0.01 M⊙ and a mass accertion rate of Macc = 10−8M⊙/yr, see text. The green lines are temperature cuts at selected radii calculated by MCMax, the small wiggles are due to the Monte-Carlo noise. The black dots show the temperatures calculated by ProDiMo.
Current usage metrics show cumulative count of Article Views (full-text article views including HTML views, PDF and ePub downloads, according to the available data) and Abstracts Views on Vision4Press platform.
Data correspond to usage on the plateform after 2015. The current usage metrics is available 48-96 hours after online publication and is updated daily on week days.
Initial download of the metrics may take a while.