Fig. 4

Download original image
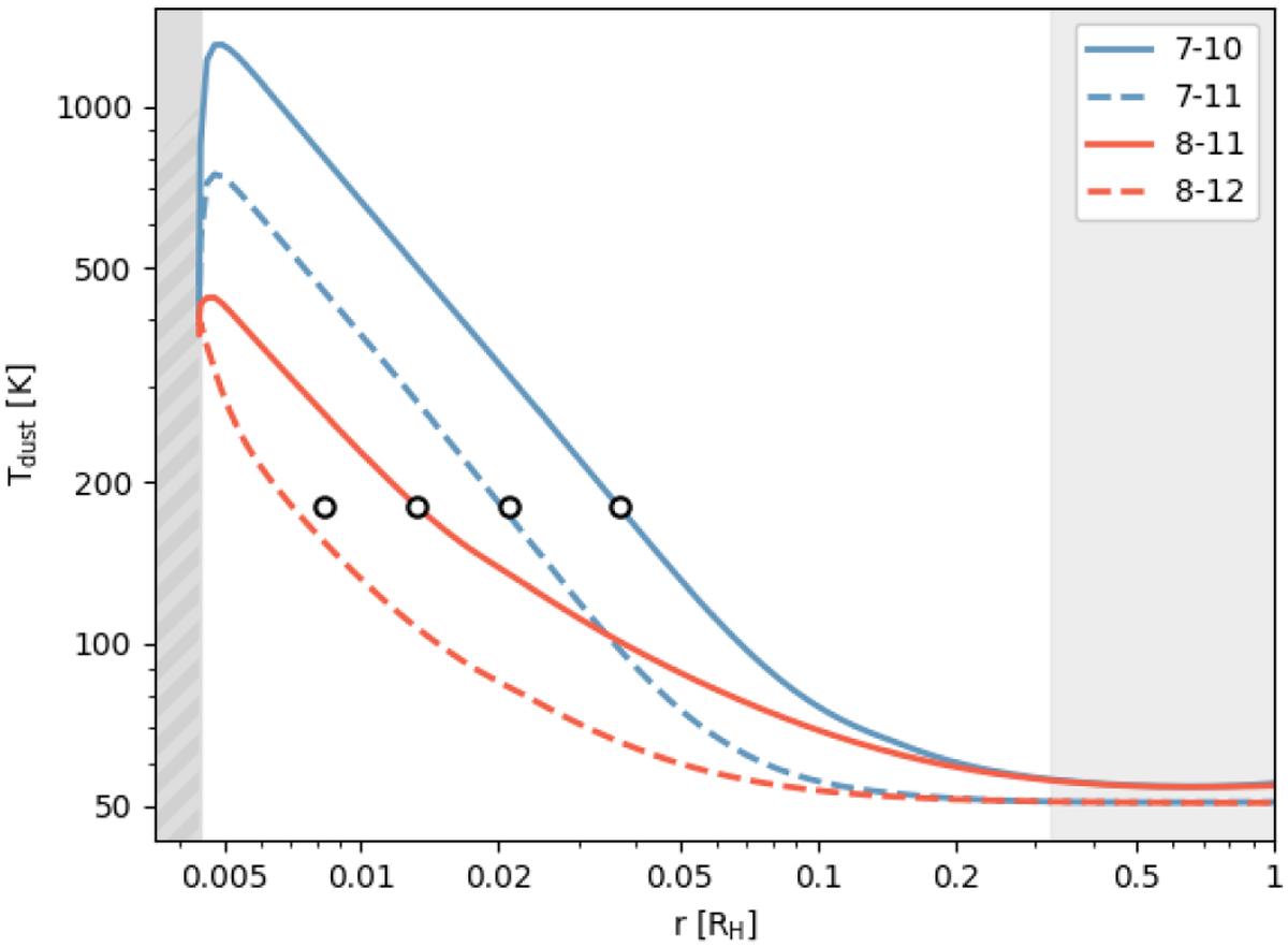
Radial midplane dust temperature profiles of the four reference CPDs (d/g = 10−33), labelled by the model id’s in Table 3. The four circles indicate only the present-day radial position of the Galilean satellites. The striped gray area on the left indicates the inner cavity. The light gray area on the right indicates the gravitationally unstable zone outside of RH/3 (where RH = 0.35 au).
Current usage metrics show cumulative count of Article Views (full-text article views including HTML views, PDF and ePub downloads, according to the available data) and Abstracts Views on Vision4Press platform.
Data correspond to usage on the plateform after 2015. The current usage metrics is available 48-96 hours after online publication and is updated daily on week days.
Initial download of the metrics may take a while.