Fig. 5.

Download original image
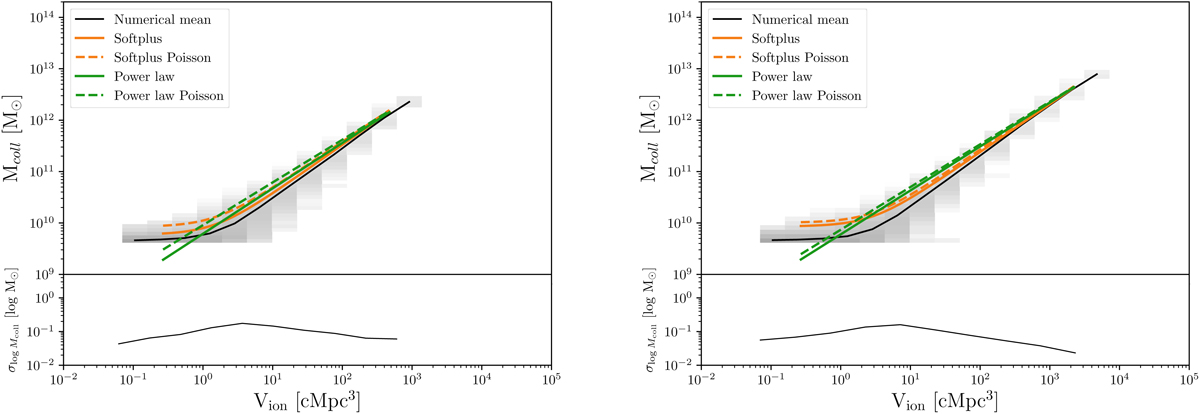
Collapsed mass inside an ionized region as a function of its volume. The gray colormap represents the distribution of halos the HIRRAH-21 simulation and its numerical mean (top panel) and dispersion (bottom panel) are shown as black lines in the corresponding panels. The inferred relations with (dashed lines) and without (solid lines) considering the sample variance are shown for both our power law (green lines) and our logarithmic Softplus (orange lines) parameterizations. The fit is done at xH II ∼ 1% (left panel) and xH II ∼ 3% (right panel).
Current usage metrics show cumulative count of Article Views (full-text article views including HTML views, PDF and ePub downloads, according to the available data) and Abstracts Views on Vision4Press platform.
Data correspond to usage on the plateform after 2015. The current usage metrics is available 48-96 hours after online publication and is updated daily on week days.
Initial download of the metrics may take a while.