Fig. 8.

Download original image
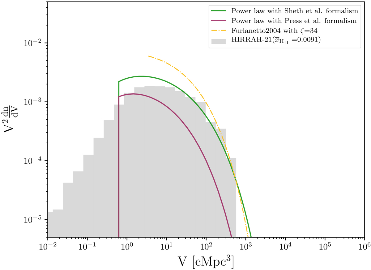
Bubble size distribution at xH II ∼ 1% using the same parameters (inferred with the model using Sheth & Tormen 1999) in Eq. (11) using the CMF of Eq. (2) based on Sheth & Tormen (1999, green line) and the CMF of Eq. (3) based on Press & Schechter (1974, purple line). The Numerical BSD from the HIRRAH-21 simulation and a numerical fit of the reference BSD using Eq. (1) from Furlanetto et al. (2004) inferring the efficiency parameter ζ (yellow line) are shown for comparison.
Current usage metrics show cumulative count of Article Views (full-text article views including HTML views, PDF and ePub downloads, according to the available data) and Abstracts Views on Vision4Press platform.
Data correspond to usage on the plateform after 2015. The current usage metrics is available 48-96 hours after online publication and is updated daily on week days.
Initial download of the metrics may take a while.