Fig. 8.

Download original image
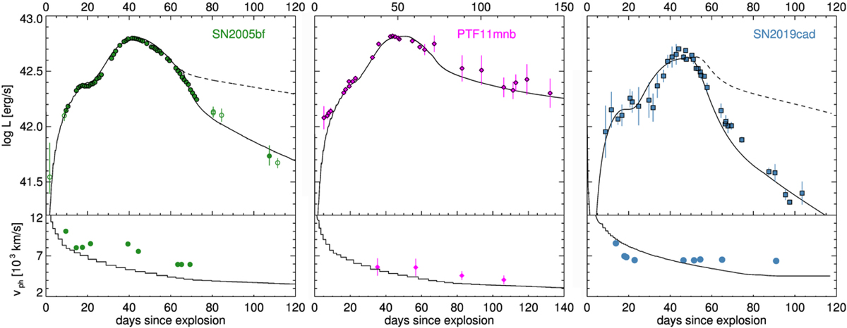
Fitting models for our selected sample, SN2005bf, PTF11mnb, and SN2019cad, within our parametric prescription for the 56Ni double distribution profile. The late light curve decline slope for SN2005bf and SN2019cad is reproduced when passing from a fixed κγ opacity (dashed line) to one adjusted to account for the gamma-ray leakage (solid line).
Current usage metrics show cumulative count of Article Views (full-text article views including HTML views, PDF and ePub downloads, according to the available data) and Abstracts Views on Vision4Press platform.
Data correspond to usage on the plateform after 2015. The current usage metrics is available 48-96 hours after online publication and is updated daily on week days.
Initial download of the metrics may take a while.