Open Access

Fig. 9.

image

Download original image

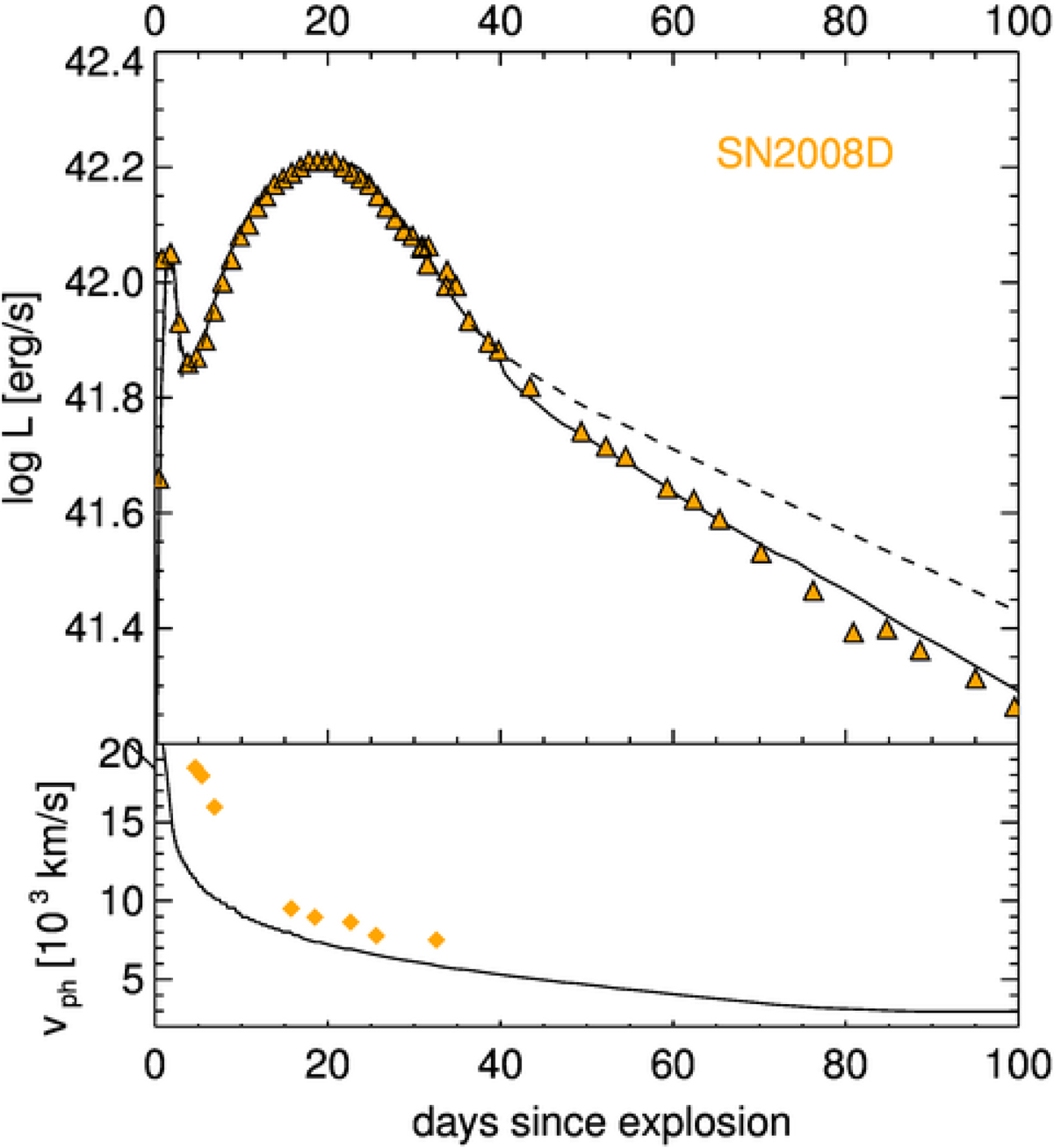
SN2008D requires a strongly inverted 56Ni profile, with the external abundance of Xout = 0.71 in a layer that reaches the surface; in this case, the progenitor model is He5 with Eexp = 1 foe. The late LC decline is reproduced when passing from a fixed κγ = 0.03 cm2 g−1 opacity (dashed line) to half this value at t >  40 d (solid line). Lower panel: evolution of the photospheric velocity, although we did not use observational velocities to constrain the model. The velocities of the photosphere are taken from Tanaka et al. (2009b).

Current usage metrics show cumulative count of Article Views (full-text article views including HTML views, PDF and ePub downloads, according to the available data) and Abstracts Views on Vision4Press platform.

Data correspond to usage on the plateform after 2015. The current usage metrics is available 48-96 hours after online publication and is updated daily on week days.

Initial download of the metrics may take a while.