Fig. 1.

Download original image
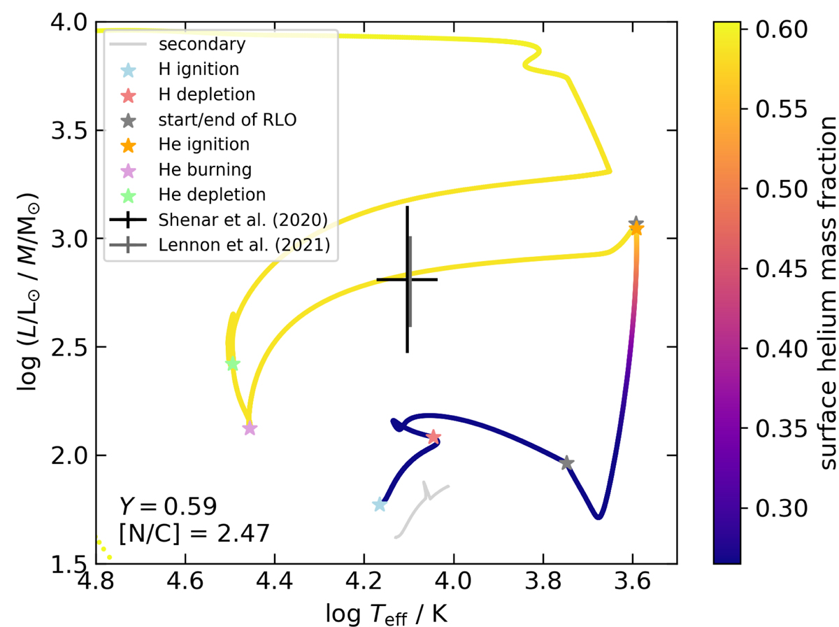
Spectroscopic Hertzsprung-Russell diagram of a possible LB-1 progenitor. The helium abundance of the donor is indicated by colour. The mass gainer, which does not leave the main sequence as the binary model ends when the primary becomes a WD, is shown in grey. The ZAMS parameters are M1 = 4.0 M⊙, M2 = 3.5 M⊙, and Porb = 16 d. After the RLO the parameters were M1 = 0.7 M⊙, M2 = 3.5 M⊙, and Porb = 223 d. The surface abundances of the donor after RLO are shown in the lower left corner. The star symbols indicate Roche-lobe decoupling, helium ignition, middle of helium burning phase (sdOB observationally), and central helium depletion. The observations of Shenar et al. (2020) and Lennon et al. (2021) are shown in black and grey.
Current usage metrics show cumulative count of Article Views (full-text article views including HTML views, PDF and ePub downloads, according to the available data) and Abstracts Views on Vision4Press platform.
Data correspond to usage on the plateform after 2015. The current usage metrics is available 48-96 hours after online publication and is updated daily on week days.
Initial download of the metrics may take a while.