Fig. 6.

Download original image
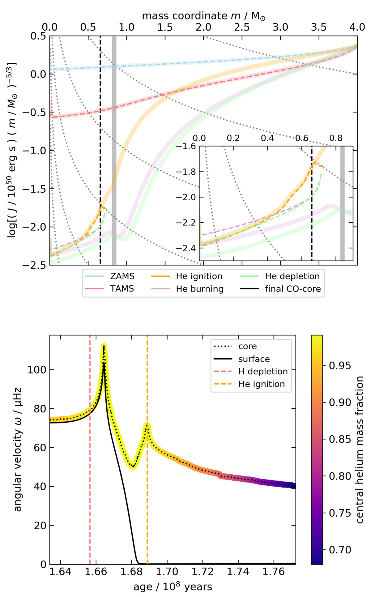
Rotational properties of the single-star model. Top: angular momentum J(m) within the mass coordinate m divided by m5/3 as a function of m at different evolutionary stages for the primary star of the binary model examined in Sect. 4.3.1 (dashed) and its primary star as a single star (thick lines). The vertical black lines indicate the last calculated mass of the CO-core of the models. The thin dotted lines represent constant values of the angular momentum J: (from top to bottom) logJ/1050 erg s = {1, 0, −1, −2, −3, −4}. Bottom: evolution of the angular velocity of the single-star model near the centre (coloured by the central helium mass fraction) and at the surface. The vertical lines indicate hydrogen depletion and helium ignition.
Current usage metrics show cumulative count of Article Views (full-text article views including HTML views, PDF and ePub downloads, according to the available data) and Abstracts Views on Vision4Press platform.
Data correspond to usage on the plateform after 2015. The current usage metrics is available 48-96 hours after online publication and is updated daily on week days.
Initial download of the metrics may take a while.