Open Access

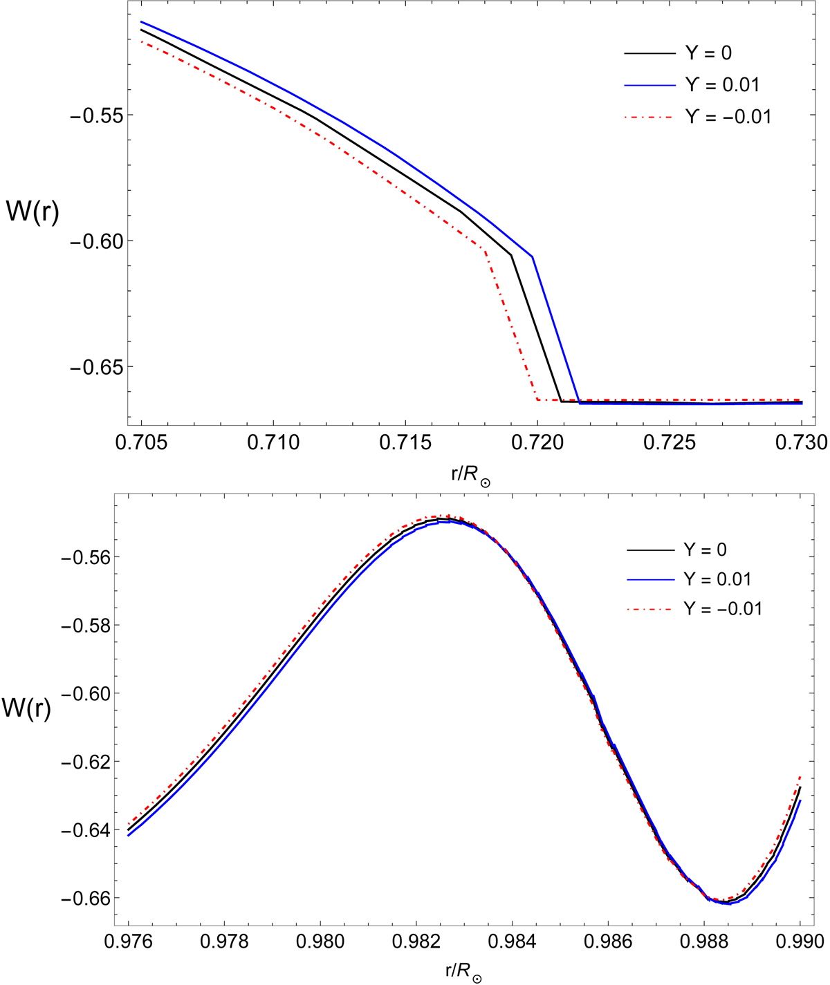
Fig. 2.

image

Download original image

The quantity W(r), defined in Eq. (19). This is a measure of the sound-speed gradient and a key diagnostic for the solar structure. Here, it is shown for the following three cases: for standard gravity (𝒴 = 0), weaker (𝒴 = 0.01) and stronger (𝒴 = −0.01) gravity respectively. The plots are based on full numerical simulations of calibrated models for radius, luminosity and surface metallicity (see Table 2 for a summary). Top: the solution of W(r) = − 2/3 yields an approximate estimate of the position of the radius of the base of the convective zone (rRcz), which is shown in the upper panel. The reference model at standard gravity is model GS98 summarised in Table 2. Bottom: the peak of the quantity W(r) right below the solar surface due to the ionisation of helium. Although barely visible by eye, the position of the peak is shifted inwards (outwards) for stronger (weaker) gravity.

Current usage metrics show cumulative count of Article Views (full-text article views including HTML views, PDF and ePub downloads, according to the available data) and Abstracts Views on Vision4Press platform.

Data correspond to usage on the plateform after 2015. The current usage metrics is available 48-96 hours after online publication and is updated daily on week days.

Initial download of the metrics may take a while.