Open Access

Fig. 8.

image

Download original image

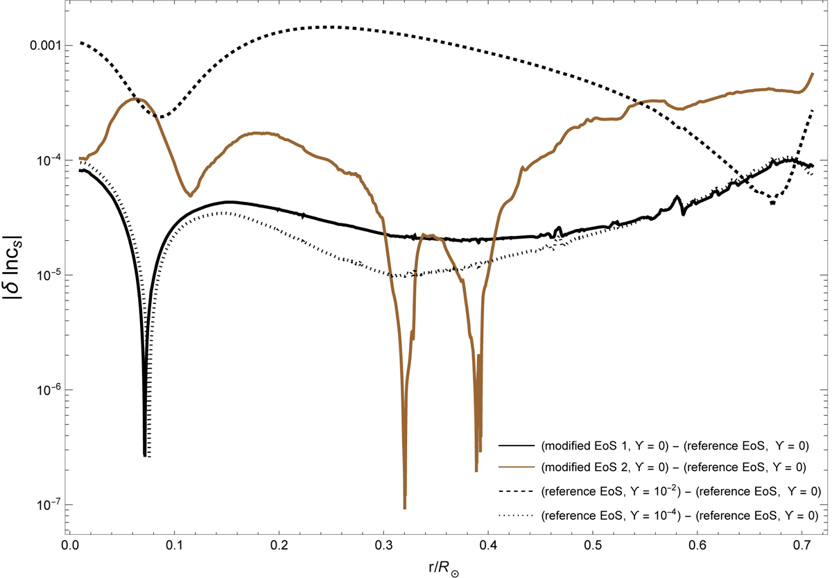
Comparison between the effect of a modification of the EoS at standard gravity, and that of the fifth force at fixed EoS on the sound-speed profile. The variation δcs is in the sense (reference model) – (modified model), and the vertical axis is on natural logarithmic scale. Our reference model uses the mixed OPAL/Free EoS, whereas the alternative EoS’s at standard gravity are based on pure Free EoS (‘modified EoS 1’), and pure OPAL (‘modified EoS 2’) respectively. For more details we refer to Sect. 4. The models with fifth force in the figure are computed on top of our reference EoS. We remind that the fifth-force effect on the sound-speed profile within the radiative zone peaks around r ≃ 0.25 R (see also Figs. 5 and 6).

Current usage metrics show cumulative count of Article Views (full-text article views including HTML views, PDF and ePub downloads, according to the available data) and Abstracts Views on Vision4Press platform.

Data correspond to usage on the plateform after 2015. The current usage metrics is available 48-96 hours after online publication and is updated daily on week days.

Initial download of the metrics may take a while.