Open Access

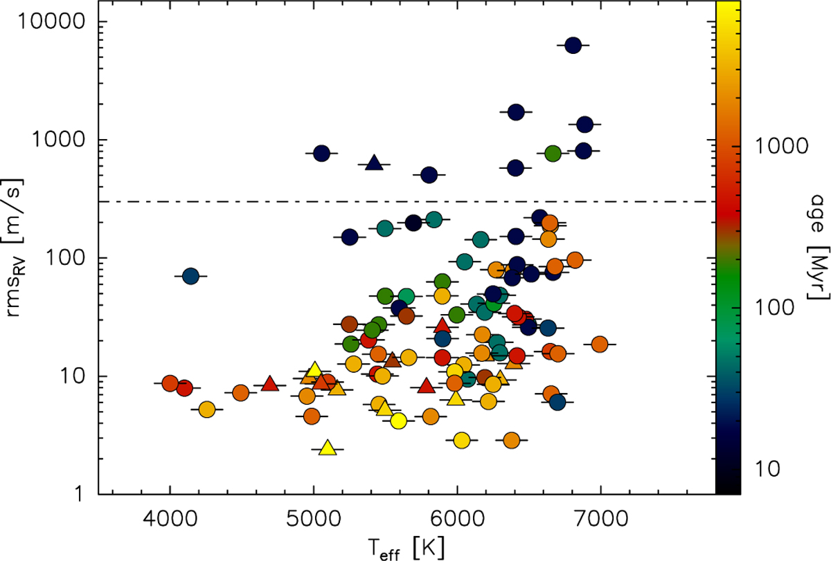
Fig. 5

image

Download original image

Intrinsic rms scatter of the RVs in the 2-week high-cadence data vs. (spectroscopic) effective stellar temperature, Teff, with age encoded in colour. Stars marked as triangles do not have significant IR excess (see Sect. 3.1). The horizontal dashed-dotted line marks the approximate boundary above which we consider RV exoplanet searches not feasible (although we use a mass detection threshold in the end; see Sect. 7.5 and Fig. 11).

Current usage metrics show cumulative count of Article Views (full-text article views including HTML views, PDF and ePub downloads, according to the available data) and Abstracts Views on Vision4Press platform.

Data correspond to usage on the plateform after 2015. The current usage metrics is available 48-96 hours after online publication and is updated daily on week days.

Initial download of the metrics may take a while.