Fig. 22.

Download original image
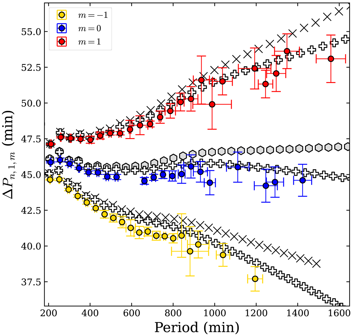
ΔP1 as a function of modes period in the F5 case, for azimuthal numbers m = −1 (yellow), m = 0 (blue), and m = 1 (red). The ΔP1 obtained from the Ω⋆ = 0 GYRE run and the perturbative approach are represented as grey hexagons while the white crosses shows the ΔP1 obtained for m = { − 1, 0, 1} with the 5 Ω⊙ GYRE TAR run. The black crosses signal the ΔP1 position for m = { − 1, 1} in the asymptotic approximation of the perturbative method. The measured uncertainties on period and ΔP1 are represented. We show only fitted modes for which we are able to measure ΔP1 with an uncertainty below 1.75 min.
Current usage metrics show cumulative count of Article Views (full-text article views including HTML views, PDF and ePub downloads, according to the available data) and Abstracts Views on Vision4Press platform.
Data correspond to usage on the plateform after 2015. The current usage metrics is available 48-96 hours after online publication and is updated daily on week days.
Initial download of the metrics may take a while.