Open Access
Fig. 28.

Download original image
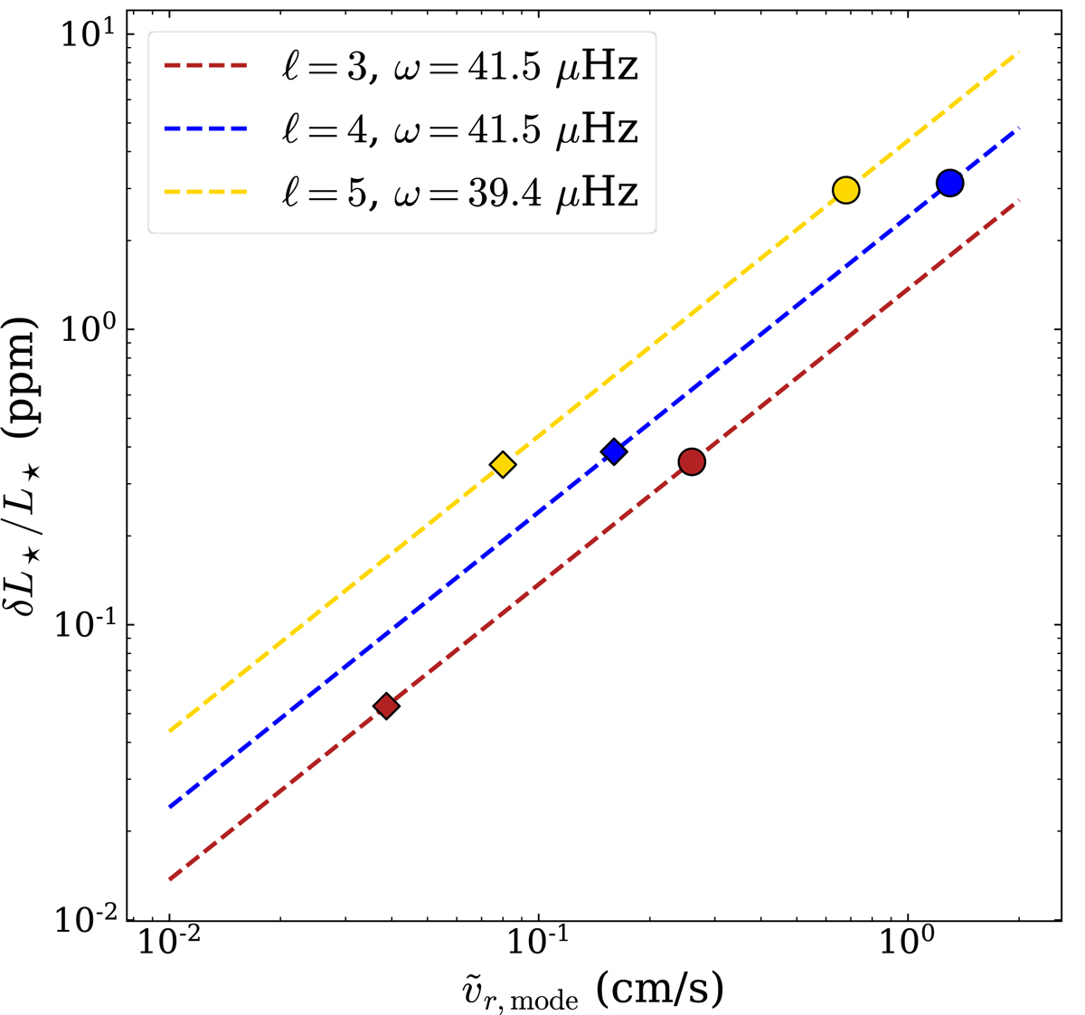
Luminosity perturbation estimation as a function of vr for a ℓ = 3 mode at 41.5 μHz (red), a ℓ = 4 mode at 41.5 μHz (blue), and a ℓ = 5 mode at 39.4 μHz (yellow). The diamonds correspond to the radial velocity we measure in the F5 case at r = 0.87 R⋆ and the dots to the same quantity at r = 0.97 R⋆.
Current usage metrics show cumulative count of Article Views (full-text article views including HTML views, PDF and ePub downloads, according to the available data) and Abstracts Views on Vision4Press platform.
Data correspond to usage on the plateform after 2015. The current usage metrics is available 48-96 hours after online publication and is updated daily on week days.
Initial download of the metrics may take a while.