Fig. 6.

Download original image
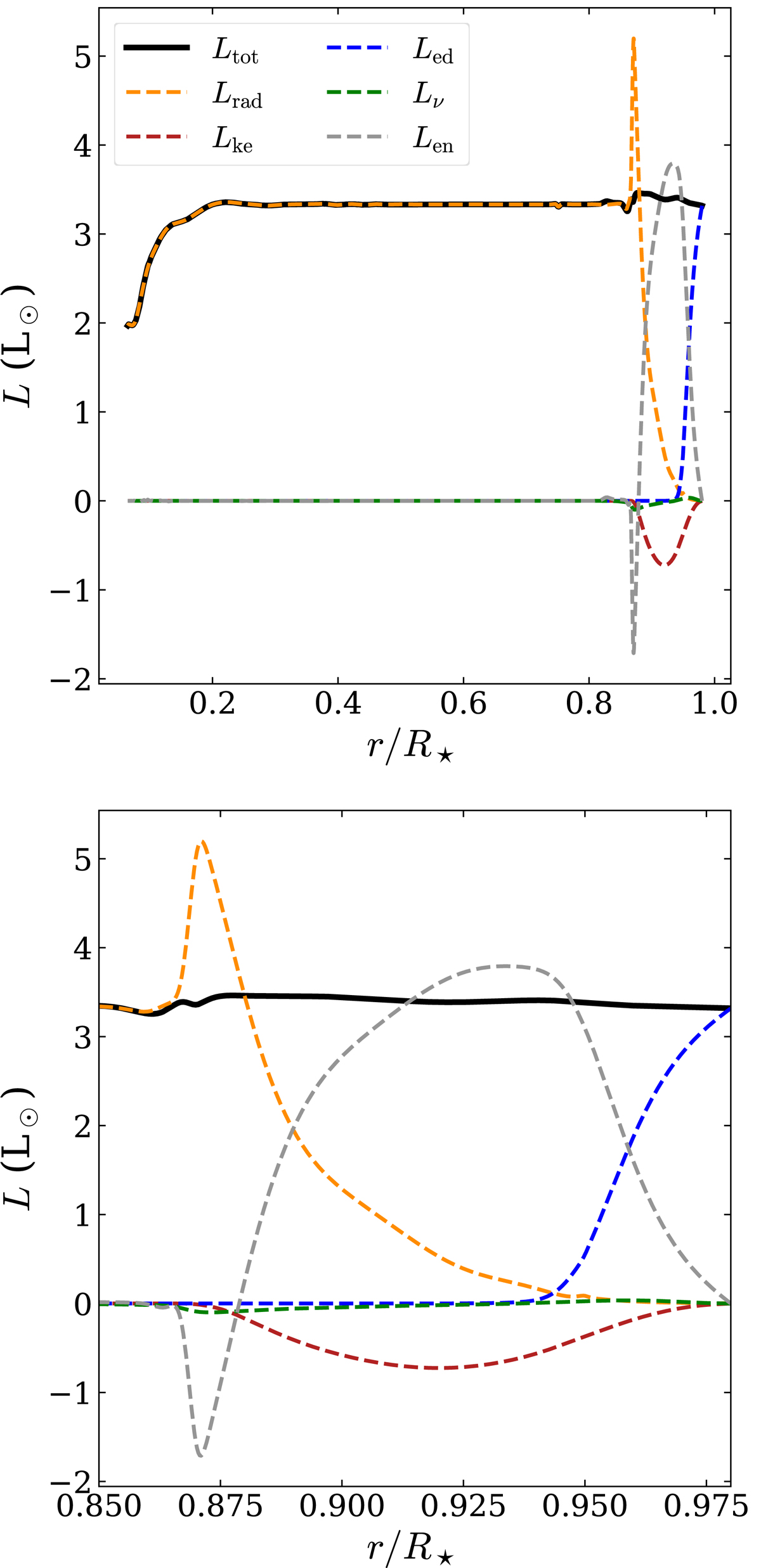
Flux balance between radiative luminosity Lrad (dashed orange), kinetic energy luminosity Lke (dashed red), enthalpy luminosity Len (dashed grey), diffusivity luminosity Lν (dashed green), and subgrid-scale eddy luminosity Led (dashed blue) for the F5 case. The total luminosity, Ltot, is represented in black. The top panel shows the flux balance for the whole simulation domain, while the bottom panel shows an enlargement in the convective zone and the overshoot region.
Current usage metrics show cumulative count of Article Views (full-text article views including HTML views, PDF and ePub downloads, according to the available data) and Abstracts Views on Vision4Press platform.
Data correspond to usage on the plateform after 2015. The current usage metrics is available 48-96 hours after online publication and is updated daily on week days.
Initial download of the metrics may take a while.