Open Access

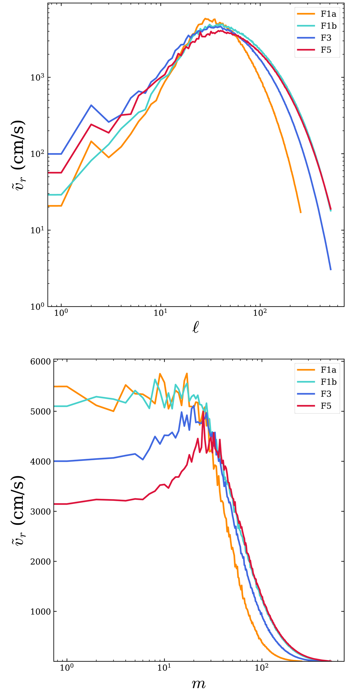
Fig. 8.

image

Download original image

Spherical harmonic decomposition of the time average of the rms radial velocity in the middle of the convective zone (r = 0.93 R) for the F1a (orange), F1b (cyan), F3 (blue), and F5 (red) cases. In the top panel, the rms components are summed over m and shown as a function of . In the bottom panel, the rms components are summed over and shown as a function of m.

Current usage metrics show cumulative count of Article Views (full-text article views including HTML views, PDF and ePub downloads, according to the available data) and Abstracts Views on Vision4Press platform.

Data correspond to usage on the plateform after 2015. The current usage metrics is available 48-96 hours after online publication and is updated daily on week days.

Initial download of the metrics may take a while.