Open Access
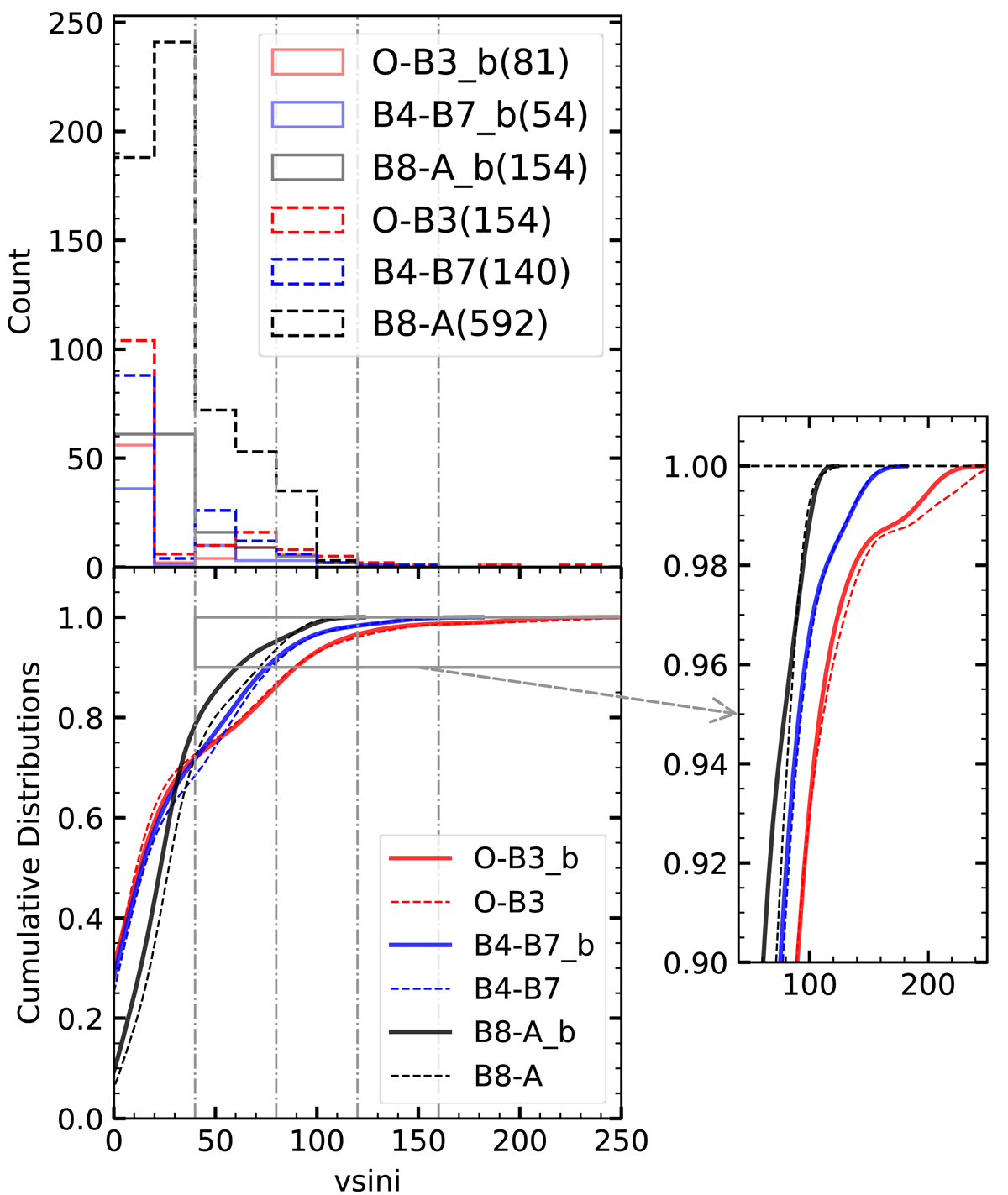
Fig. 12.

Download original image
Comparison of the vsini histograms (top panel) and cumulative distributions (bottom panel) based on different groups of Teff. The solid and dashed lines represent all the stars and binary samples, respectively. The red, blue, and black lines represent the samples in O-B3, B4-B7, and B8-A groups, respectively.
Current usage metrics show cumulative count of Article Views (full-text article views including HTML views, PDF and ePub downloads, according to the available data) and Abstracts Views on Vision4Press platform.
Data correspond to usage on the plateform after 2015. The current usage metrics is available 48-96 hours after online publication and is updated daily on week days.
Initial download of the metrics may take a while.