Open Access
Fig. 2.

Download original image
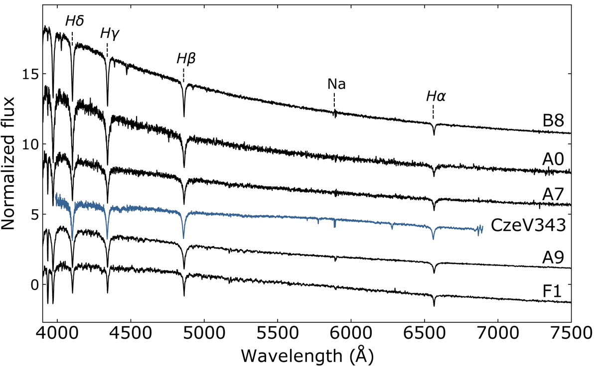
OSMOS spectrum of CzeV343 along with several solar-metallicity spectral templates from PyHammer (Kesseli et al. 2017; Roulston et al. 2020). For clarity of the display, the spectra were rescaled and shifted.
Current usage metrics show cumulative count of Article Views (full-text article views including HTML views, PDF and ePub downloads, according to the available data) and Abstracts Views on Vision4Press platform.
Data correspond to usage on the plateform after 2015. The current usage metrics is available 48-96 hours after online publication and is updated daily on week days.
Initial download of the metrics may take a while.