Fig. 5.

Download original image
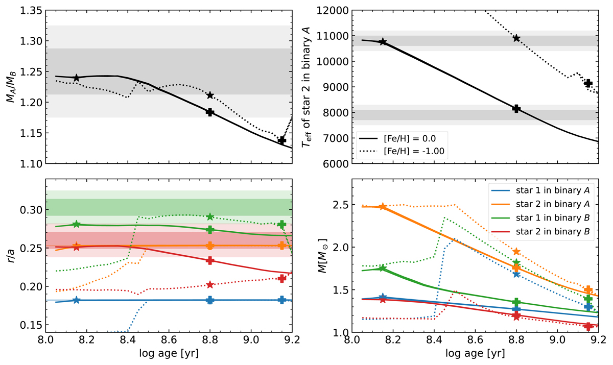
Constraints on physical properties of stars in CzeV343 using MIST isochrones. We show three observables that we are trying to simultaneously fit: mass ratio of the two binaries constrained by LTTE (top left), effective temperature of star 2 in binary A (top right), and the four relative radii of individual components from our photometric model (bottom left). In these three panels, lighter and darker bands show 1 and 2σ confidence intervals of the constrained parameters. In the top right diagram, we show two gray bands corresponding to two choices of Teff, prior. Bottom right panel: best-fit initial stellar masses. In all panels, lines show best-fit models as a function of isochrone age for two metallicities as explained in the legend. The best-fit model for each metallicity is marked separately for Teff, prior = 7900 K (plus sign) and Teff, prior = 10 800 K (star).
Current usage metrics show cumulative count of Article Views (full-text article views including HTML views, PDF and ePub downloads, according to the available data) and Abstracts Views on Vision4Press platform.
Data correspond to usage on the plateform after 2015. The current usage metrics is available 48-96 hours after online publication and is updated daily on week days.
Initial download of the metrics may take a while.