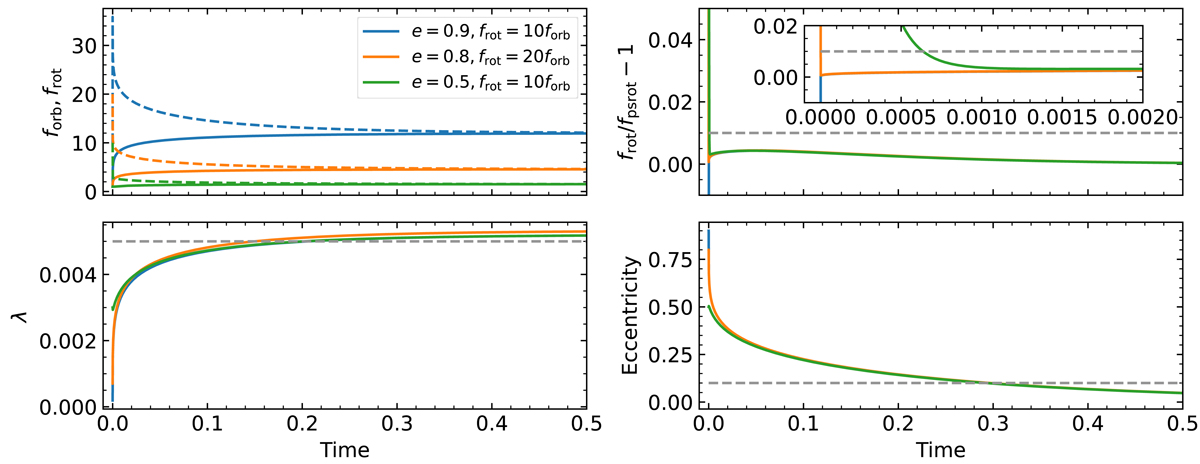
Fig. 8.

Download original image
Several examples of possible tidal evolution of binary A in CzeV343. Top left panel: orbital (solid lines) and stellar rotation (dashed lines) frequencies for different initial parameters indicated in the legend. Top right panel: ratio between rotation and pseudo-synchronous frequencies including a zoom-in on the early part of the evolution. The vertical dashed line shows the 1% excess possibly detected in CzeV343. Bottom left panel: evolution of λ that converges near the current estimate of 0.005 marked with horizontal dashed line. Bottom right panel: evolution of eccentricity with the value 0.1 marked with a horizontal dashed line. Time is measured in the units of the tidal friction timescale, which is approximately 9 tcirc (Eggleton 2006).
Current usage metrics show cumulative count of Article Views (full-text article views including HTML views, PDF and ePub downloads, according to the available data) and Abstracts Views on Vision4Press platform.
Data correspond to usage on the plateform after 2015. The current usage metrics is available 48-96 hours after online publication and is updated daily on week days.
Initial download of the metrics may take a while.