Fig. 5.

Download original image
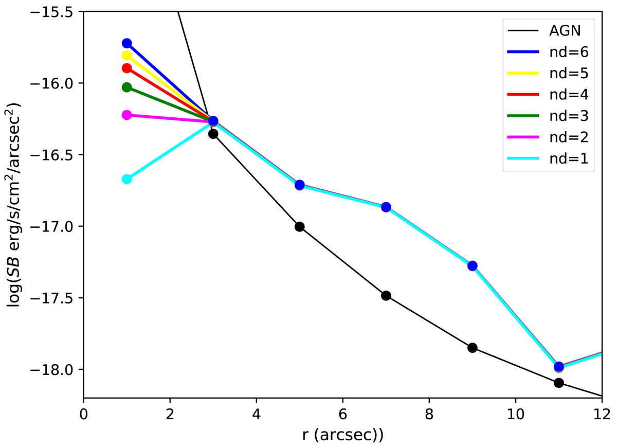
Azymuthally averaged profile of the diffuse emission (after subtraction of the AGN emission and of the background) at different nd values. As expected, only the innermost bin is affected by the choice of nd, while the indirect effects on the normalization of the AGN contamination, thus on the overall normalization of the diffuse emission, is negligible. The black line is the simulated AGN emission for comparison.
Current usage metrics show cumulative count of Article Views (full-text article views including HTML views, PDF and ePub downloads, according to the available data) and Abstracts Views on Vision4Press platform.
Data correspond to usage on the plateform after 2015. The current usage metrics is available 48-96 hours after online publication and is updated daily on week days.
Initial download of the metrics may take a while.