Fig. 6.

Download original image
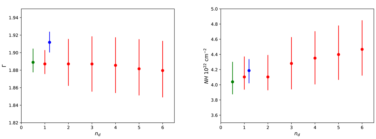
Left: best-fit spectral slope Γ of the nuclear emission of the Spiderweb as a function of the enhancement factor nd (red points). The best-fit values obtained with direct background subtraction are shown as blue and green points, where blue is for the background sampled in the 2.6–4.6 arcsec annulus, and green in the 16–24 arcsec annulus. Right: same for the best-fit value of the intrinsic absorption NH.
Current usage metrics show cumulative count of Article Views (full-text article views including HTML views, PDF and ePub downloads, according to the available data) and Abstracts Views on Vision4Press platform.
Data correspond to usage on the plateform after 2015. The current usage metrics is available 48-96 hours after online publication and is updated daily on week days.
Initial download of the metrics may take a while.