Open Access
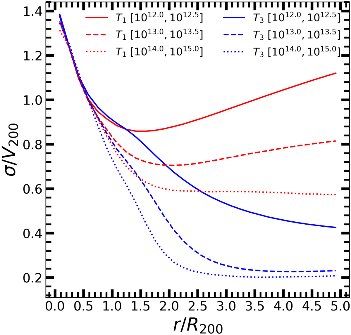
Fig. 10.

Download original image
Velocity dispersion, σ, of dark matter particles as a function of radius. The velocity dispersion and radius are scaled with V200 and R200, respectively. Line styles denote different halo masses, as indicated. Red lines show the results along T1 direction, and blue for T3 direction.
Current usage metrics show cumulative count of Article Views (full-text article views including HTML views, PDF and ePub downloads, according to the available data) and Abstracts Views on Vision4Press platform.
Data correspond to usage on the plateform after 2015. The current usage metrics is available 48-96 hours after online publication and is updated daily on week days.
Initial download of the metrics may take a while.