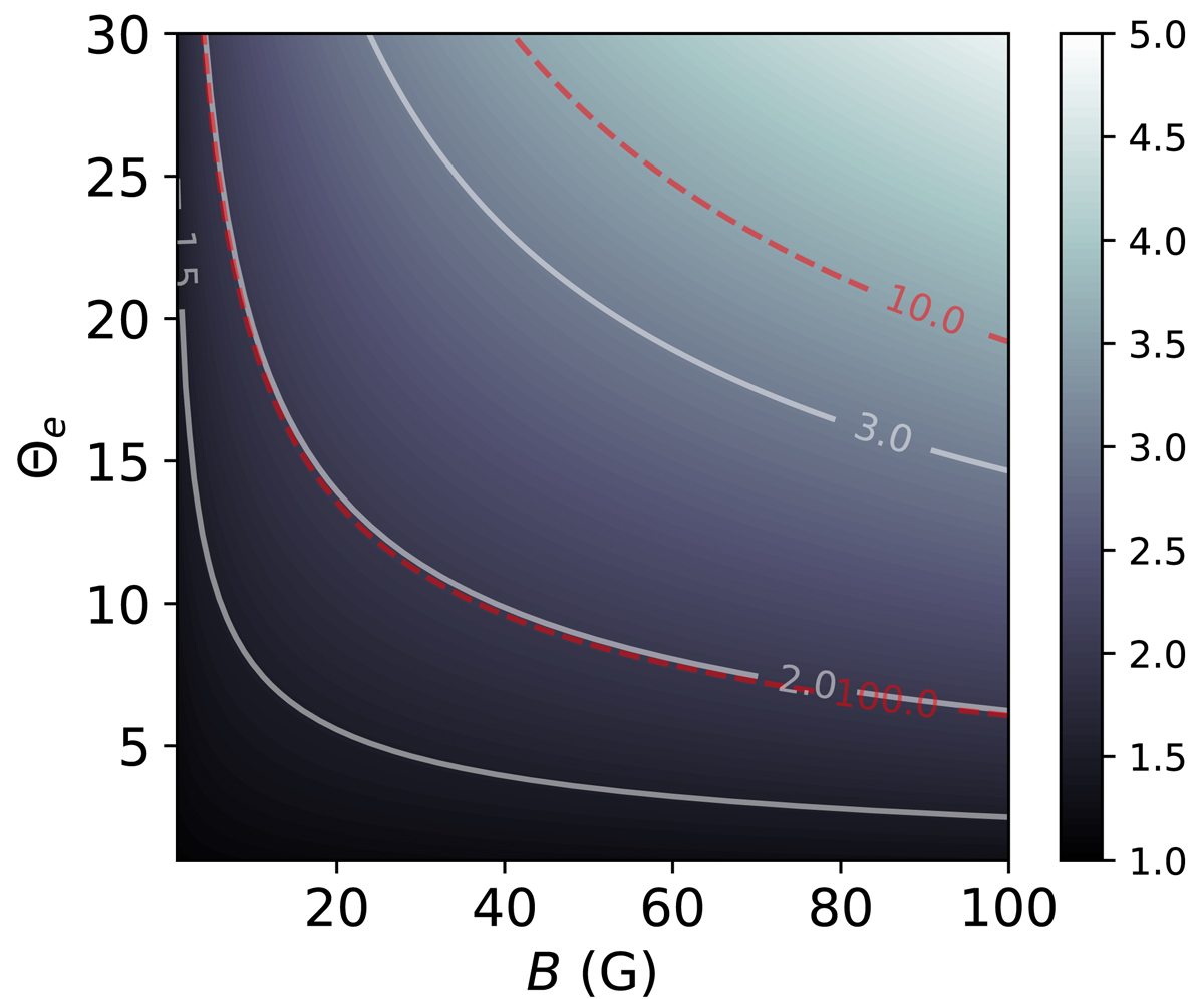
Fig. B.1.

Download original image
Validity of the approximated emissivity given by Eq. (B.3). This figure shows the ratio of (X1/2 + 211/12X1/6)2 to X [or equivalently, of the emissivity (B.1) to its approximation (B.3)] as a function of magnetic field strength B and dimensionless temperature Θe, fixing sin θ = 1 and ν = 230 GHz (and neglecting redshift effects). The solid white curves are level sets of ratios of 1.5, 2 and 3. The dashed red curves are level sets of the X parameter corresponding to X = 10 and X = 100.
Current usage metrics show cumulative count of Article Views (full-text article views including HTML views, PDF and ePub downloads, according to the available data) and Abstracts Views on Vision4Press platform.
Data correspond to usage on the plateform after 2015. The current usage metrics is available 48-96 hours after online publication and is updated daily on week days.
Initial download of the metrics may take a while.