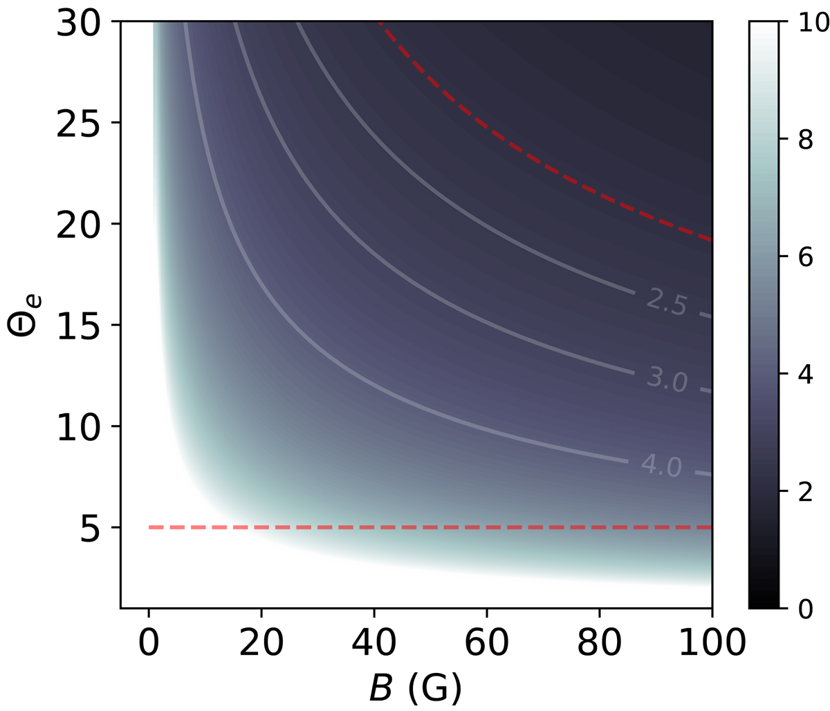
Fig. B.2.

Download original image
Values of the parameter ζ [Eq. (B.7)] as a function of the magnetic field strength B and dimensionless temperature Θe. Here, we fix sin θ = 1. Our models always stay in the part of the plane located above the dashed horizontal red line (Θe > 5, where the approximation (B.1) is good) and below the dashed red contour (X > 10, where the approximation (B.3) is excellent). The solid white contours are level sets of ζ.
Current usage metrics show cumulative count of Article Views (full-text article views including HTML views, PDF and ePub downloads, according to the available data) and Abstracts Views on Vision4Press platform.
Data correspond to usage on the plateform after 2015. The current usage metrics is available 48-96 hours after online publication and is updated daily on week days.
Initial download of the metrics may take a while.