Fig. 5.

Download original image
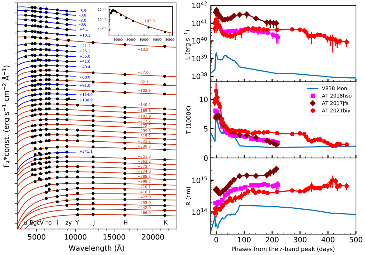
Black-body fits for AT 2021biy with the multi-band observed data. Left: SED evolution of AT 2021biy; for each SED, the best-fit single BB function is also shown. The +102.9 d SED extended to the MIR thanks to the WISE data is shown in the inset. Blue lines represent the fits built with the optical data, while red lines are the fits based on the optical and NIR data. Right: BB parameters of AT 2021biy, AT 2017jfs, AT 2018hso, and V838 Mon. Top-right: bolometric light curve; Middle-right: BB temperature evolution; Bottom-right: BB radius evolution.
Current usage metrics show cumulative count of Article Views (full-text article views including HTML views, PDF and ePub downloads, according to the available data) and Abstracts Views on Vision4Press platform.
Data correspond to usage on the plateform after 2015. The current usage metrics is available 48-96 hours after online publication and is updated daily on week days.
Initial download of the metrics may take a while.