Fig. 1

Download original image
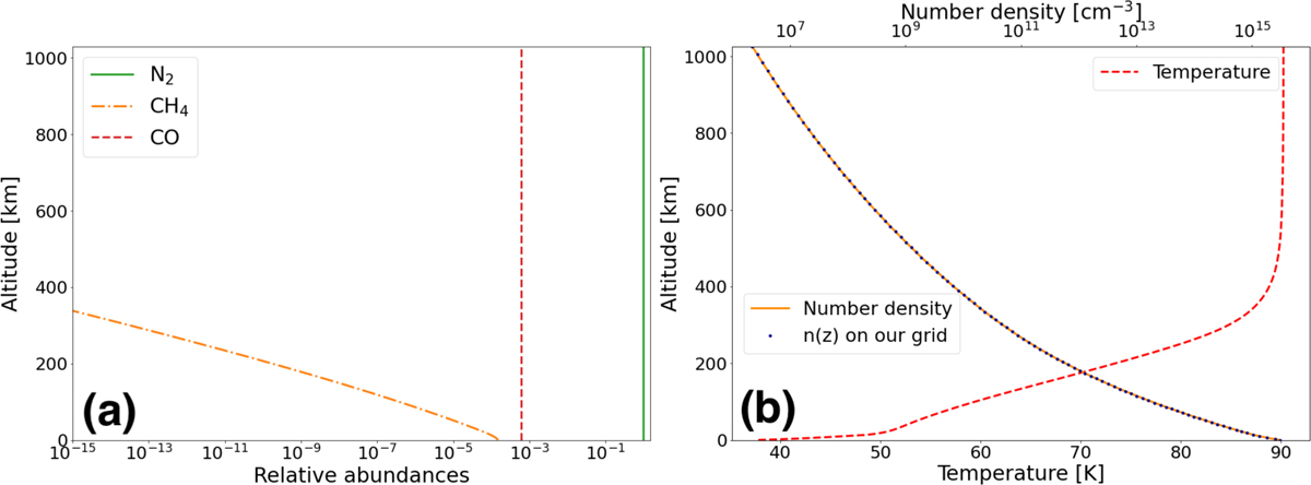
Initial profiles used in our model: (a) Initial abundance profiles of N2 (green solid line), CH4 (orange dash-dotted line), and CO (red dashed line). The CH4 abundance decreases exponentially with a scale height of 9 km. (b) Temperature (red dashed line) and number density (orange solid line) profiles from the Triton-3 case of Strobel & Zhu (2017) that are used as inputs in our model. The altitudinal grid is composed of 96 levels and the total number density is plotted with blue dots.
Current usage metrics show cumulative count of Article Views (full-text article views including HTML views, PDF and ePub downloads, according to the available data) and Abstracts Views on Vision4Press platform.
Data correspond to usage on the plateform after 2015. The current usage metrics is available 48-96 hours after online publication and is updated daily on week days.
Initial download of the metrics may take a while.