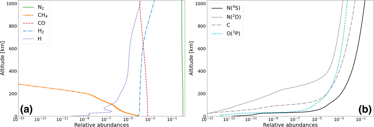
Fig. 4

Download original image
Relative abundances of the main neutral species in the atmosphere of Triton: (a) Relative abundance of N2 (green solid line), CH4 (orange solid line with circles), CO (red dashed line), H2 (blue dash-dotted line), and H (dark blue dotted line), (b) Relative abundances of N(4S), (black solid line), N(2D), (black dotted line), C (gray dash-dotted line), and O(3P), (cyan dashed line). We only give the O(3P) profile as the abundance of O(1D) is negligible.
Current usage metrics show cumulative count of Article Views (full-text article views including HTML views, PDF and ePub downloads, according to the available data) and Abstracts Views on Vision4Press platform.
Data correspond to usage on the plateform after 2015. The current usage metrics is available 48-96 hours after online publication and is updated daily on week days.
Initial download of the metrics may take a while.