Fig. 6

Download original image
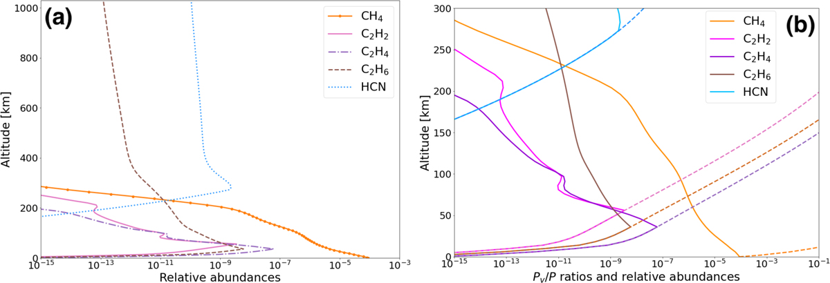
Relative abundances of the main hydrocarbons and comparison with their vapor pressure ratio: (a) Relative abundances of the main hydrocarbons (orange solid line with circles for CH4, solid pink line for C2H2, purple dash-dotted line for C2H4 and brown dashed line for C2H6), and blue dotted line for HCN. (b) Relative abundances (solid lines) compared to the ratio of the vapor pressure, Pv, and the pressure, P, (dashed lines) depending on altitude for CH4, the main C2Hx, and HCN. When the curves of the Pv/P ratio and the abundance merge, this means that the species is condensing, as its abundance cannot be higher than this ratio.
Current usage metrics show cumulative count of Article Views (full-text article views including HTML views, PDF and ePub downloads, according to the available data) and Abstracts Views on Vision4Press platform.
Data correspond to usage on the plateform after 2015. The current usage metrics is available 48-96 hours after online publication and is updated daily on week days.
Initial download of the metrics may take a while.