Open Access

Fig. 8

image

Download original image

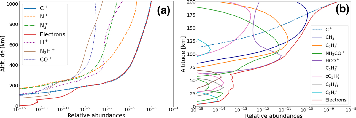
Relative abundances of the main ions of the atmosphere of Triton: (a) Most abundant ions that are the focus of this study – blue solid line with circles for C+, orange dashed line for N+, green dash-dotted line for N2+, purple dotted line for H+, thin brown solid line for CO+, thin dark blue dashed line for N2H+, and red solid line for electrons. (b) Most abundant ions below 175 km.

Current usage metrics show cumulative count of Article Views (full-text article views including HTML views, PDF and ePub downloads, according to the available data) and Abstracts Views on Vision4Press platform.

Data correspond to usage on the plateform after 2015. The current usage metrics is available 48-96 hours after online publication and is updated daily on week days.

Initial download of the metrics may take a while.