Fig. D.1.

Download original image
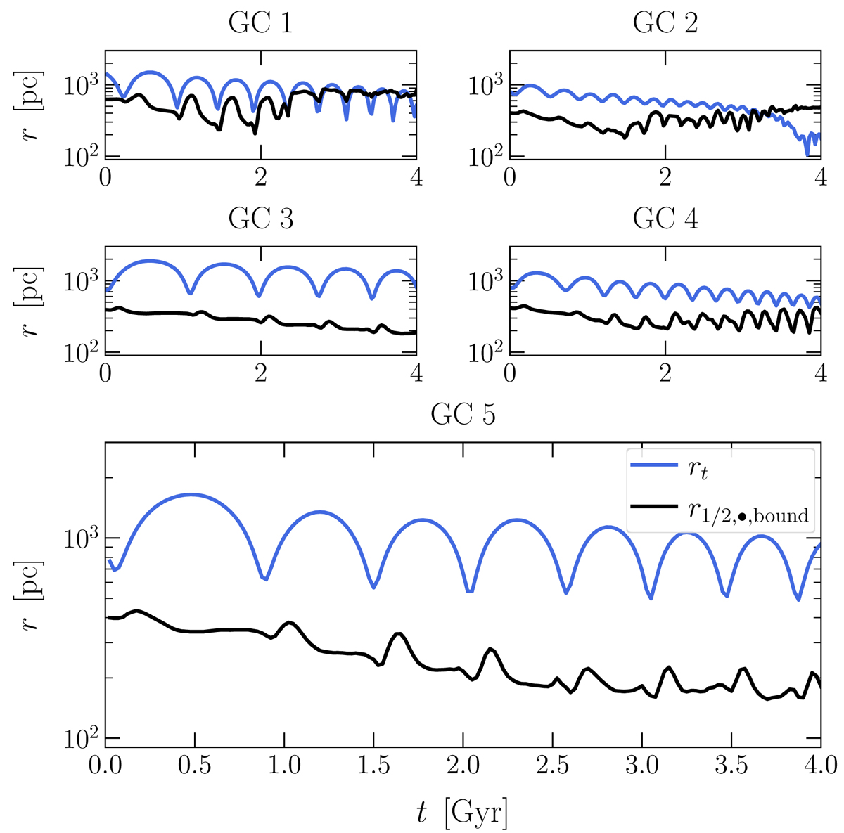
Evolution of scale radii: Evolution of the GC+DM system tidal radius (rt, blue) and of the half-mass radius of the bound dark matter particles (r1/2, •, black), for each simulated cluster. We observe that clusters who lost most of their dark matter mini-halo (i.e. GC1 and GC2) presented rt > r1/2, • at some point of their orbital evolution, similarly to the relation for sub-halo disruption from Hayashi et al. (2003).
Current usage metrics show cumulative count of Article Views (full-text article views including HTML views, PDF and ePub downloads, according to the available data) and Abstracts Views on Vision4Press platform.
Data correspond to usage on the plateform after 2015. The current usage metrics is available 48-96 hours after online publication and is updated daily on week days.
Initial download of the metrics may take a while.