Fig. D.4.

Download original image
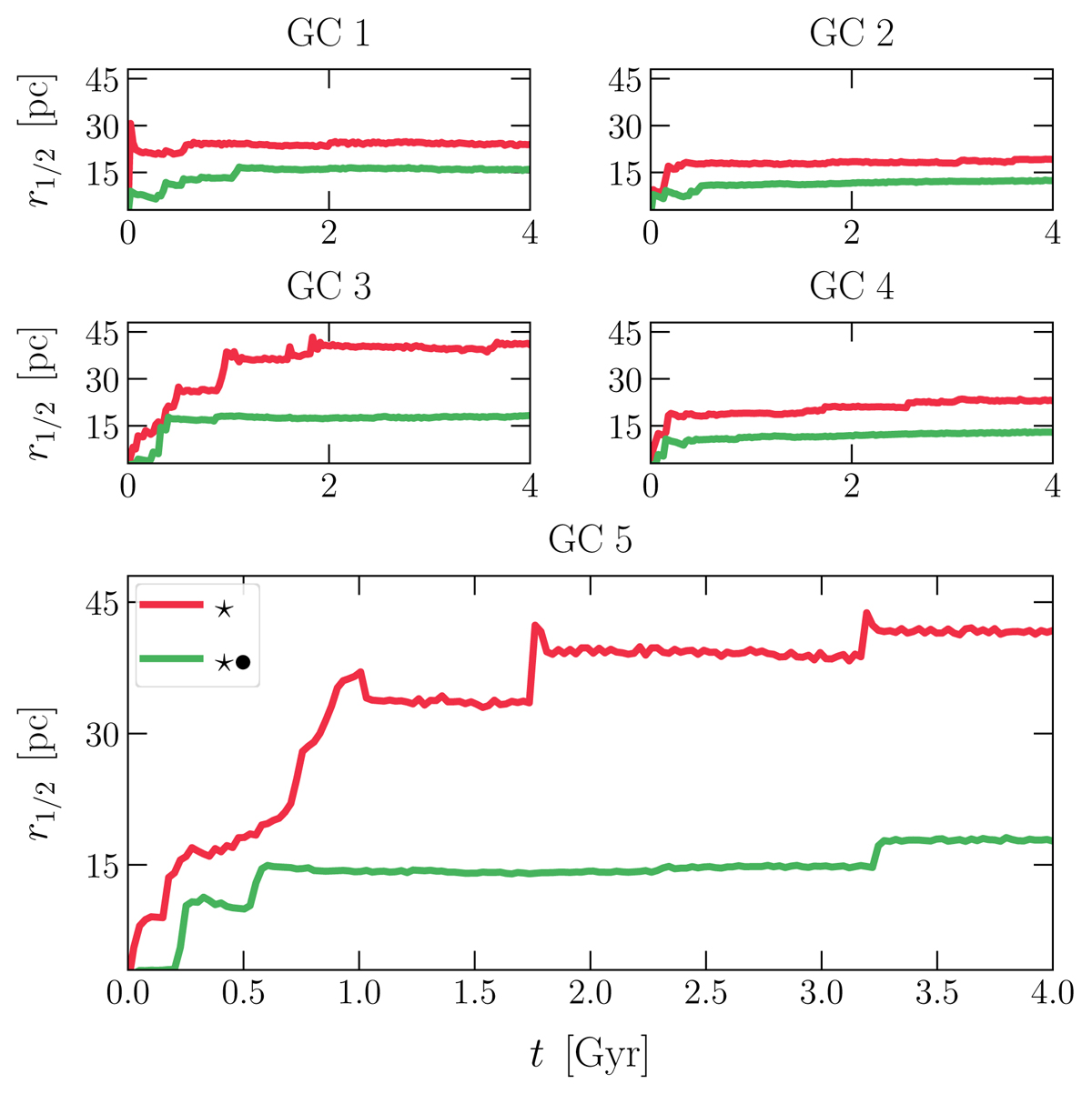
Evolution of the half mass radius: Evolution of the half mass radius of bound globular cluster particles, for each simulated cluster. Clusters originally embedded in a dark matter mini-halo (i.e. ⋆•) are displayed in green, while those devoid of the mini-halo (i.e. ⋆) are represented in red. Bound particles were defined according to Section 2.3.
Current usage metrics show cumulative count of Article Views (full-text article views including HTML views, PDF and ePub downloads, according to the available data) and Abstracts Views on Vision4Press platform.
Data correspond to usage on the plateform after 2015. The current usage metrics is available 48-96 hours after online publication and is updated daily on week days.
Initial download of the metrics may take a while.