Fig. 3.

Download original image
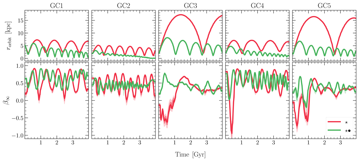
Velocity anisotropy: Evolution of the orbital radius (i.e. rorbit, upper plots) and of the outer velocity anisotropy (i.e. β∞, lower plots), for the five simulated globular clusters. The clusters originally embedded in a dark matter mini-halo are depicted in solid green, and those without it are displayed in solid red. For β∞, we display the running mean over the five closest snapshots (time-wise), for better visualisation, which explains why the initial β∞ values seem to be different for the two scenarios. We observe typically lower rorbit and more radial (i.e. higher) β∞ for clusters with a dark matter mini-halo.
Current usage metrics show cumulative count of Article Views (full-text article views including HTML views, PDF and ePub downloads, according to the available data) and Abstracts Views on Vision4Press platform.
Data correspond to usage on the plateform after 2015. The current usage metrics is available 48-96 hours after online publication and is updated daily on week days.
Initial download of the metrics may take a while.