Fig. 4.

Download original image
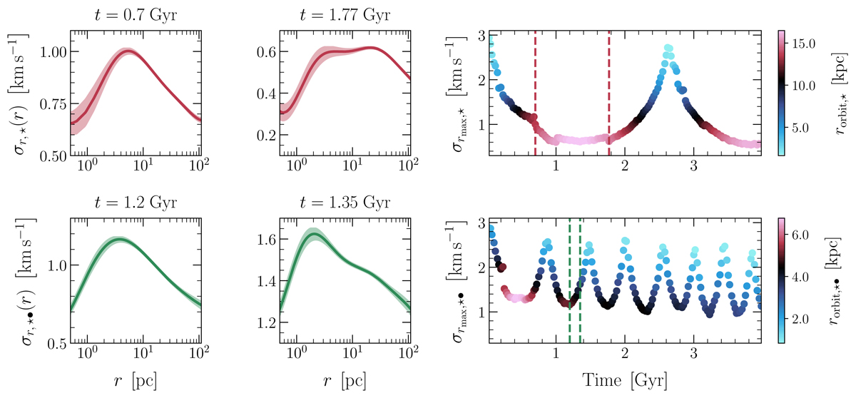
Stellar velocity dispersion: Series of plots for GC5. The upper plots relate to the simulations devoid of dark matter mini-halos (⋆), while the lower plots indicate the results for the globular clusters formed in such mini-halos (⋆•). The two columns on the left display hand-picked snapshots where the radial velocity dispersion profile (i.e, σr(r)) resembled better to an isolated case without a dark matter mini-halo (left), and with a massive dark matter mini-halo (right), according to Fig. 2 from Peñarrubia et al. (2017). The column on the right presents the evolution of the maximum value of the radial velocity dispersion profile (i.e, σrmax), for each scenario concerning the dark matter mini-halo, colour-coded according to the distance of the cluster to the centre of the host galaxy (i.e. rorbit), with two vertical dashed lines corresponding to the instants from the two columns on the left. These plots argue that the tidal field from the host galaxy tends to have a much greater impact on inflating the velocity dispersion than the presence of a dark matter mini-halo. In fact, such mini-halos help to protect the cluster from tidal effects, rather than contributing to it.
Current usage metrics show cumulative count of Article Views (full-text article views including HTML views, PDF and ePub downloads, according to the available data) and Abstracts Views on Vision4Press platform.
Data correspond to usage on the plateform after 2015. The current usage metrics is available 48-96 hours after online publication and is updated daily on week days.
Initial download of the metrics may take a while.