Fig. 5.

Download original image
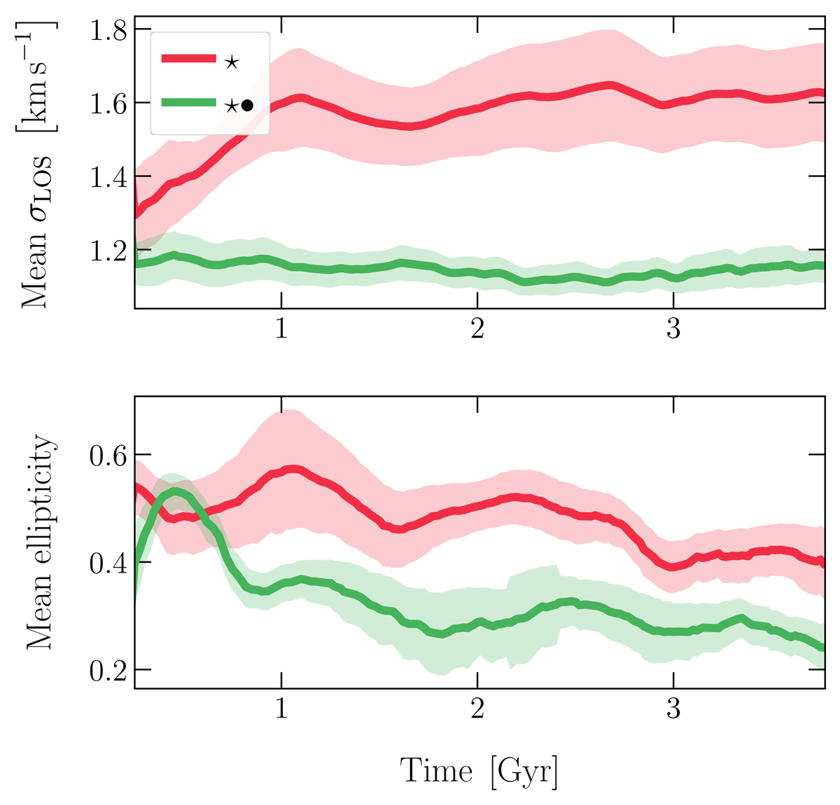
Rotation: On the top, we show the mean evolution of the line-of-sight (LOS) velocity dispersion of bound globular cluster particles, for each simulated cluster, while the bottom plot displays the mean ellipticity (or flattening) of the stellar distribution. We display the running mean over the ten closest snapshots (time-wise), for better visualisation. Error bars are represent 1-σ Poisson uncertainties. Clusters originally embedded in a dark matter mini-halo (i.e. ⋆•) are displayed in green, while those devoid of the mini-halo (i.e. ⋆) are represented in red. As a general trend, globular clusters embedded in dark matter mini-halos exchange less internal angular momentum from tidal interactions, thus presenting smaller degrees of rotation, which in turn is associated with smaller ellipticities. This again attests the efficacy of the dark matter shield illustrated in Fig. 2.
Current usage metrics show cumulative count of Article Views (full-text article views including HTML views, PDF and ePub downloads, according to the available data) and Abstracts Views on Vision4Press platform.
Data correspond to usage on the plateform after 2015. The current usage metrics is available 48-96 hours after online publication and is updated daily on week days.
Initial download of the metrics may take a while.