Fig. 2.

Download original image
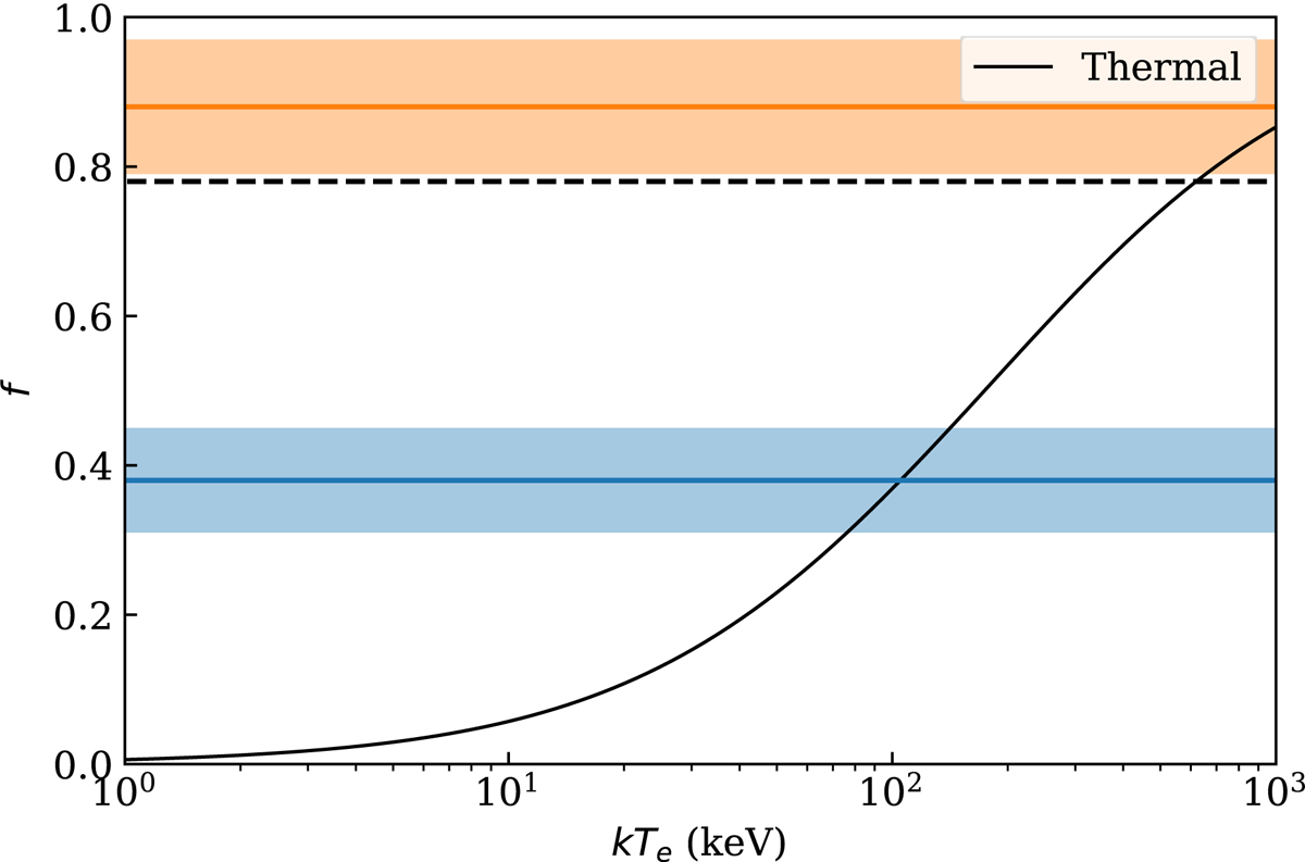
Suppression factor f vs. kT for the thermal support case. f = 1 means complete suppression, i.e., no SZ signal from the bubbles, while f = 0 means no suppression, i.e., the signal within the bubble is identical to the global ICM signal. The blue band shows the best fit f with 1σ uncertainties for the lowest f case considered in Sect. 4, corresponding to thermal pressure support by electrons with temperatures of at least 100 keV. The dashed line shows the lowest value consistent with Abdulla et al. (2019) to 1σ.
Current usage metrics show cumulative count of Article Views (full-text article views including HTML views, PDF and ePub downloads, according to the available data) and Abstracts Views on Vision4Press platform.
Data correspond to usage on the plateform after 2015. The current usage metrics is available 48-96 hours after online publication and is updated daily on week days.
Initial download of the metrics may take a while.