Open Access

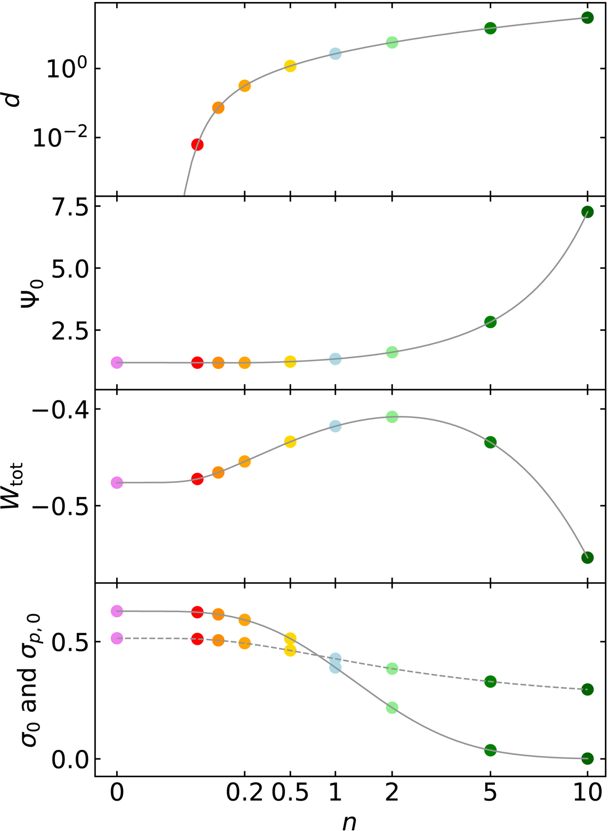
Fig. 1.

image

Download original image

Dependence of some global and dynamical properties for the family of Einasto model, explicitly as a function of the Einasto index and for fixed total mass and half-mass radius. From top to bottom this figure shows the dimensionless quantity d, the depth of the potential well, the total potential energy, and the central intrinsic (solid line) and line-of-sight (dash line) velocity dispersion. The latter two quantities are correspond to an isotropic dynamical structure. The solid lines correspond to analytical formulae or numerical results calculated outside SpheCow, the coloured dots are numerical results calculated with SpheCow. The colours of the dots correspond to the models shown in Fig. 2.

Current usage metrics show cumulative count of Article Views (full-text article views including HTML views, PDF and ePub downloads, according to the available data) and Abstracts Views on Vision4Press platform.

Data correspond to usage on the plateform after 2015. The current usage metrics is available 48-96 hours after online publication and is updated daily on week days.

Initial download of the metrics may take a while.