Open Access

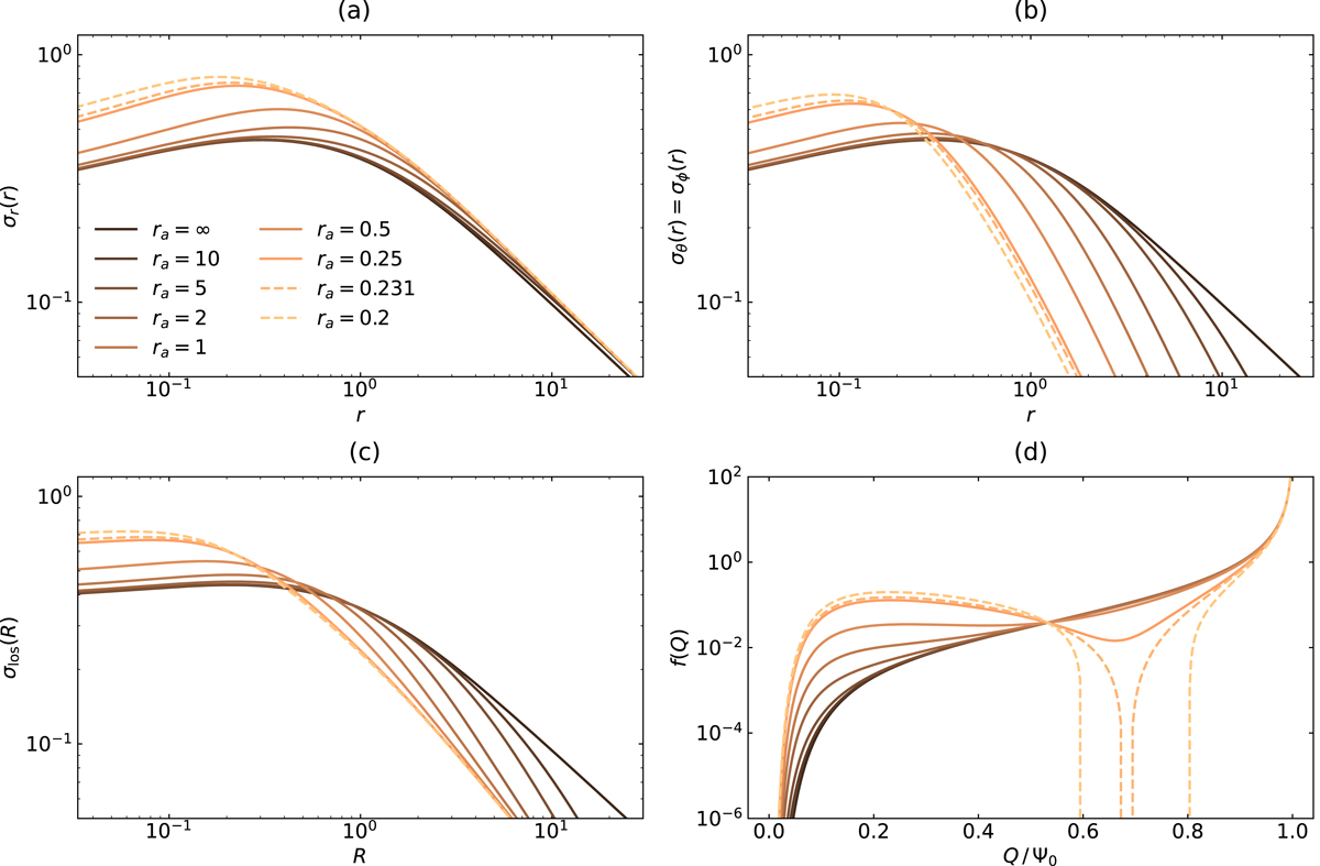
Fig. 5.

image

Download original image

Dynamical properties of the n = 2 Einasto model with an Osipkov-Merritt anisotropic orbital structure. All lines correspond to an Einasto model with exactly the same density profile with M = rh = 1 and n = 2, but with a different value for the anisotropy radius ra, as indicated in panel a. Solid lines are consistent dynamical models, dashed lines are unphysical dynamical models. The critical value for the anisotropy radius for this specific Einasto model is (ra)c = 0.2313 (see Table 1). (a) Radial velocity dispersion. (b) Tangential velocity dispersion. (c) LOS velocity dispersion. (d) Distribution function.

Current usage metrics show cumulative count of Article Views (full-text article views including HTML views, PDF and ePub downloads, according to the available data) and Abstracts Views on Vision4Press platform.

Data correspond to usage on the plateform after 2015. The current usage metrics is available 48-96 hours after online publication and is updated daily on week days.

Initial download of the metrics may take a while.