Open Access
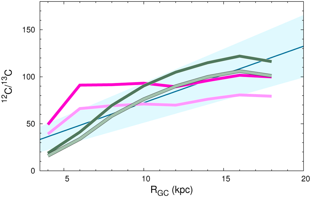
Fig. C.1

Download original image
Comparison between observed and predicted 12C/13C ratios. The blue line indicates the observed 12C/13C ratio trend along the Galactic disc by Milam et al. (2005), with its 1σ uncertainty (light blue shaded area). The observed gradient is compared to the theoretical one obtained from different GCE models (see Table 2).
Current usage metrics show cumulative count of Article Views (full-text article views including HTML views, PDF and ePub downloads, according to the available data) and Abstracts Views on Vision4Press platform.
Data correspond to usage on the plateform after 2015. The current usage metrics is available 48-96 hours after online publication and is updated daily on week days.
Initial download of the metrics may take a while.