Open Access

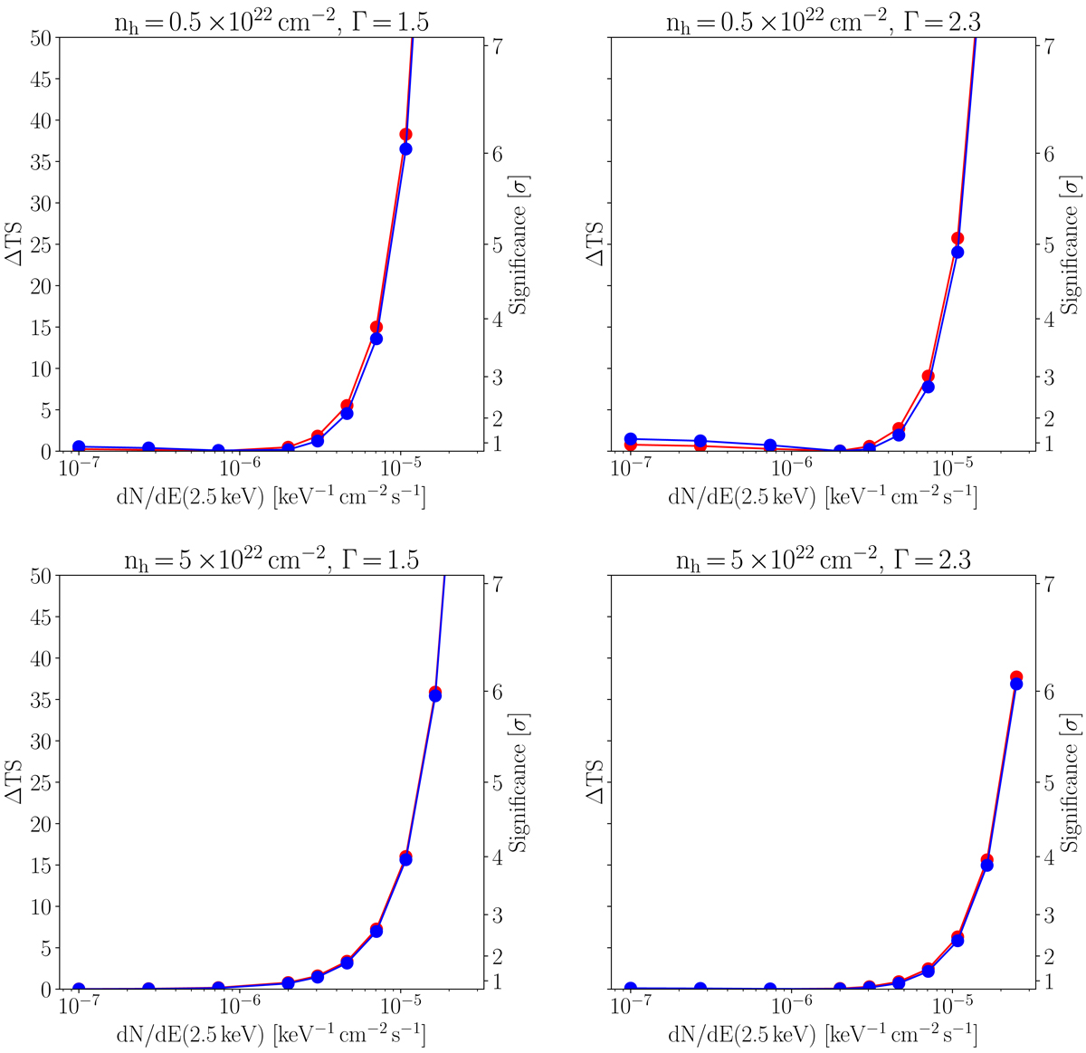
Fig. B.5.

image

Download original image

Representation of a successful crosscheck of the likelihood profile estimation performed with our custom Gammapy-based code (red) and the standard Sherpa tool (blue). For each combination of assumed nh and Γ, the results obtained with the two methods are completely compatible.

Current usage metrics show cumulative count of Article Views (full-text article views including HTML views, PDF and ePub downloads, according to the available data) and Abstracts Views on Vision4Press platform.

Data correspond to usage on the plateform after 2015. The current usage metrics is available 48-96 hours after online publication and is updated daily on week days.

Initial download of the metrics may take a while.