Open Access

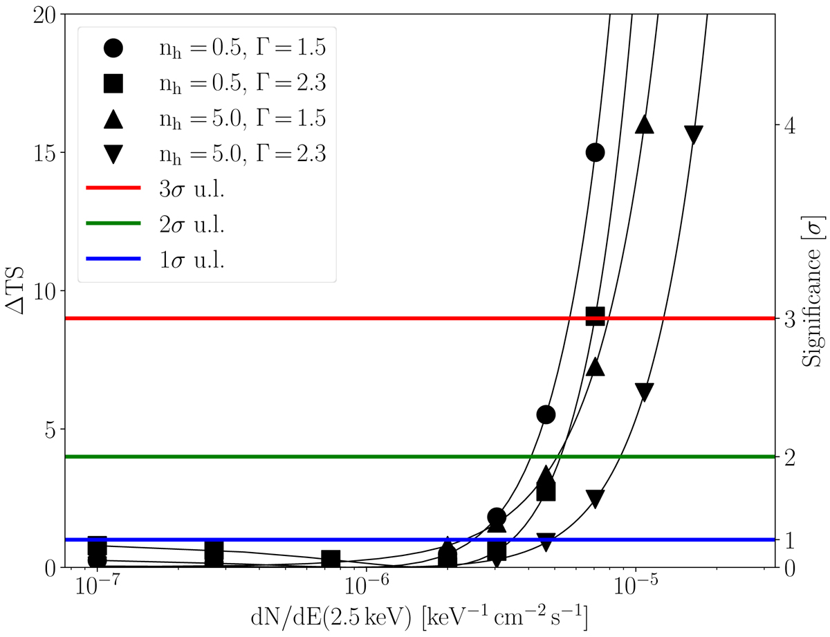
Fig. 3.

image

Download original image

Likelihood profiles for the de-absorbed differential flux at 2.5 keV of a putative X-ray signal inside the 0.06°-radius HESS J1702−420A region, for different values for the assumed absorption column density (nh) and spectral index (Γ).

Current usage metrics show cumulative count of Article Views (full-text article views including HTML views, PDF and ePub downloads, according to the available data) and Abstracts Views on Vision4Press platform.

Data correspond to usage on the plateform after 2015. The current usage metrics is available 48-96 hours after online publication and is updated daily on week days.

Initial download of the metrics may take a while.