Open Access

Fig. 6.

image

Download original image

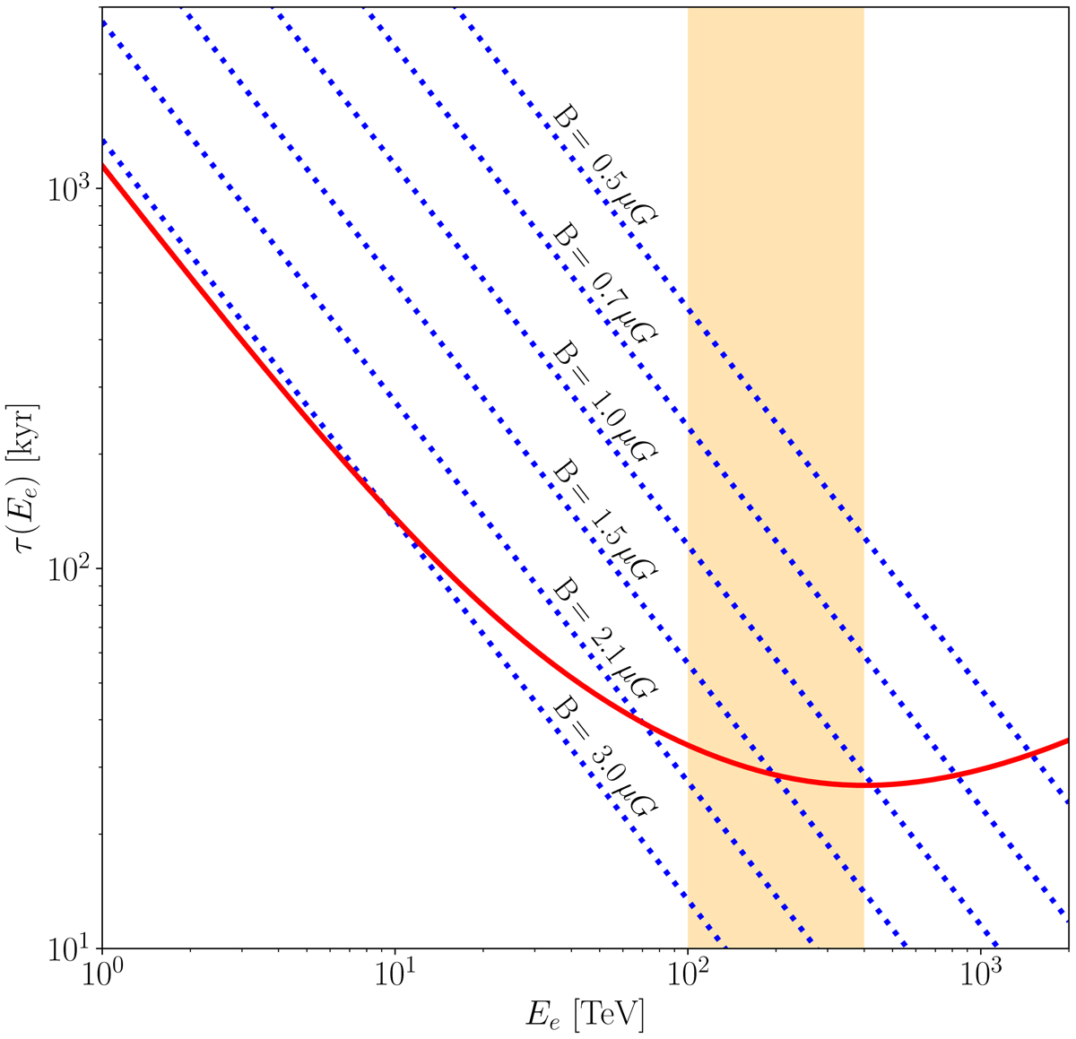
Electron cooling time due to the inverse-Compton (red) and synchrotron (blue) processes. The yellow band indicates electron energy in the range 200 − 400 TeV, as needed to create the TeV emission of HESS J1702−420A (see the main text).

Current usage metrics show cumulative count of Article Views (full-text article views including HTML views, PDF and ePub downloads, according to the available data) and Abstracts Views on Vision4Press platform.

Data correspond to usage on the plateform after 2015. The current usage metrics is available 48-96 hours after online publication and is updated daily on week days.

Initial download of the metrics may take a while.