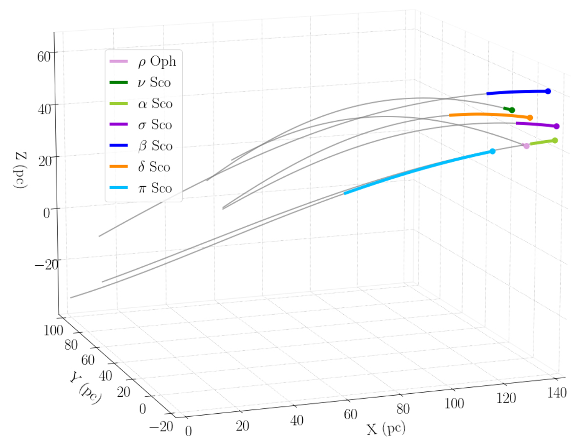
Fig. 5.

Download original image
Orbits back in time of the centre of each of the groups identified in this study. The coloured trajectories indicate the orbit of the groups from the present back to the birth time determined in this study within the reported uncertainties in the dynamical ages. The grey trajectories indicate the orbit of the groups from the birth time determined in this study to 20 Myr ago.
Current usage metrics show cumulative count of Article Views (full-text article views including HTML views, PDF and ePub downloads, according to the available data) and Abstracts Views on Vision4Press platform.
Data correspond to usage on the plateform after 2015. The current usage metrics is available 48-96 hours after online publication and is updated daily on week days.
Initial download of the metrics may take a while.