Fig. D.2

Download original image
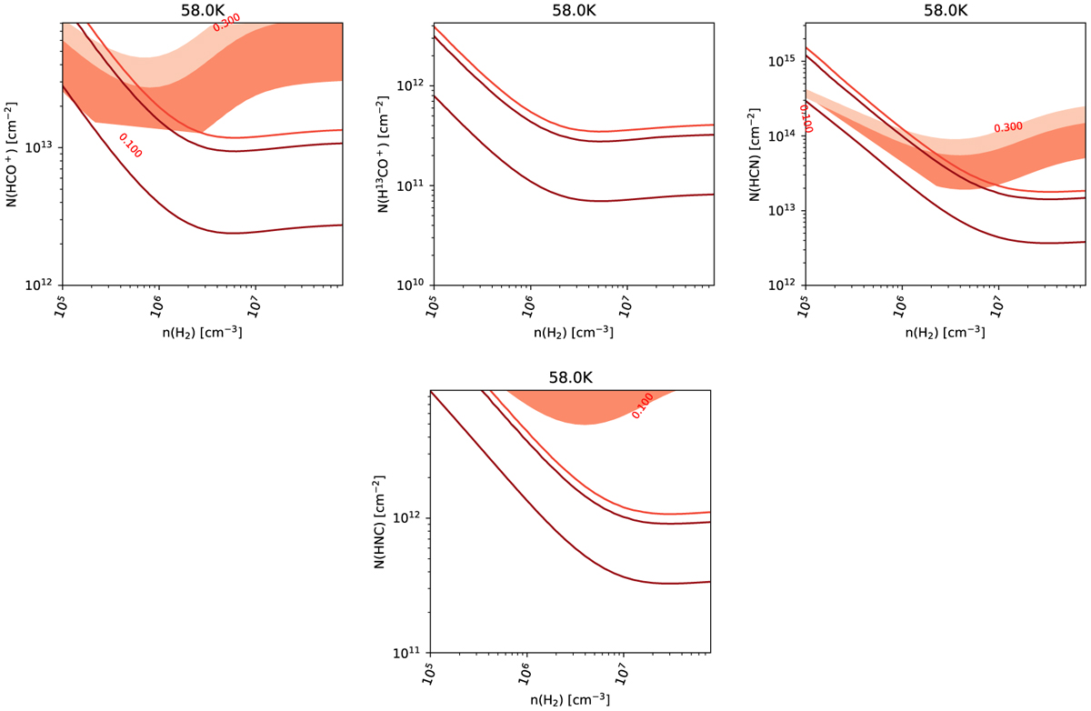
Results of modeling individual line intensities with RADEX on a 2D grid of column densities and spatial densities for a constant Tkin. Contours of constant (darker); 25 (lighter) for detected lines are shown. The background shades show the optical depths τ = 0.05 (darker region) and 0.1 (lighter region) for the corresponding species.
Current usage metrics show cumulative count of Article Views (full-text article views including HTML views, PDF and ePub downloads, according to the available data) and Abstracts Views on Vision4Press platform.
Data correspond to usage on the plateform after 2015. The current usage metrics is available 48-96 hours after online publication and is updated daily on week days.
Initial download of the metrics may take a while.