Open Access
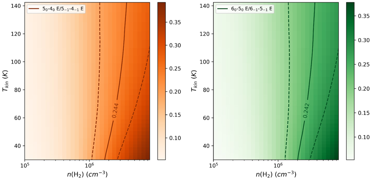
Fig. 9

Download original image
RADEX non-LTE modeling of the CH3OH line ratios to probe H2 spatial-density. The solid lines are the observed values and dashed lines correspond to the uncertainties. The adopted value of column density used to produce these contours is N = 7 × 1013 cm−2.
Current usage metrics show cumulative count of Article Views (full-text article views including HTML views, PDF and ePub downloads, according to the available data) and Abstracts Views on Vision4Press platform.
Data correspond to usage on the plateform after 2015. The current usage metrics is available 48-96 hours after online publication and is updated daily on week days.
Initial download of the metrics may take a while.