Fig. 11

Download original image
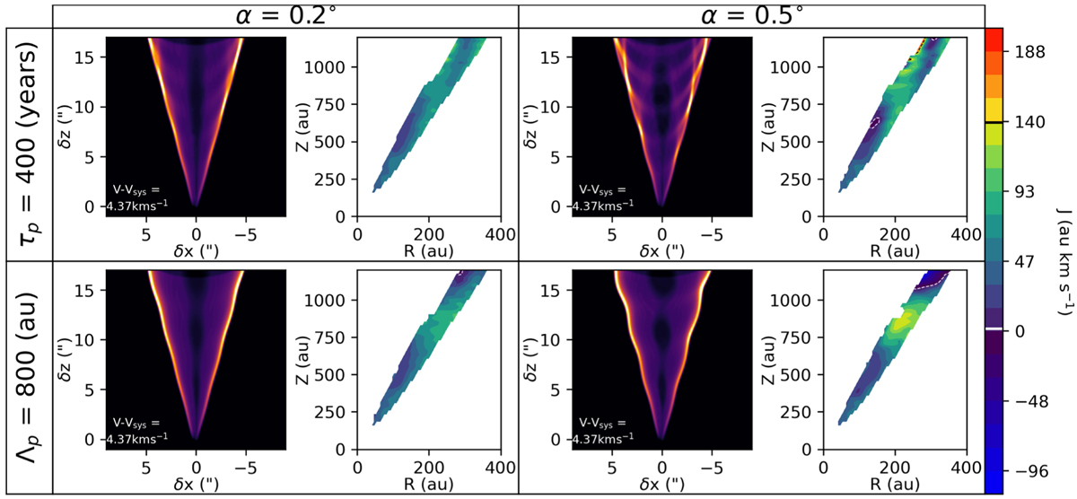
Synthetic data cubes computed from the generic disk-wind model with flow axis precession: with a precession angle of 0.2° (left panels) and 0.5° (right panels) and assuming a constant precession period τp = 400 yr (top row) or a constant precession spatial wavelength Λp = 800 au (bottom row). For each model are shown both a channel map at (V − Vsys) = 4.37 km s−1 and the corresponding tomography of j derived with the method described in Sect. 3. The color scale of j ranging from 0 to 140 au km s−1 is identical to the color scale of Fig. 3.
Current usage metrics show cumulative count of Article Views (full-text article views including HTML views, PDF and ePub downloads, according to the available data) and Abstracts Views on Vision4Press platform.
Data correspond to usage on the plateform after 2015. The current usage metrics is available 48-96 hours after online publication and is updated daily on week days.
Initial download of the metrics may take a while.