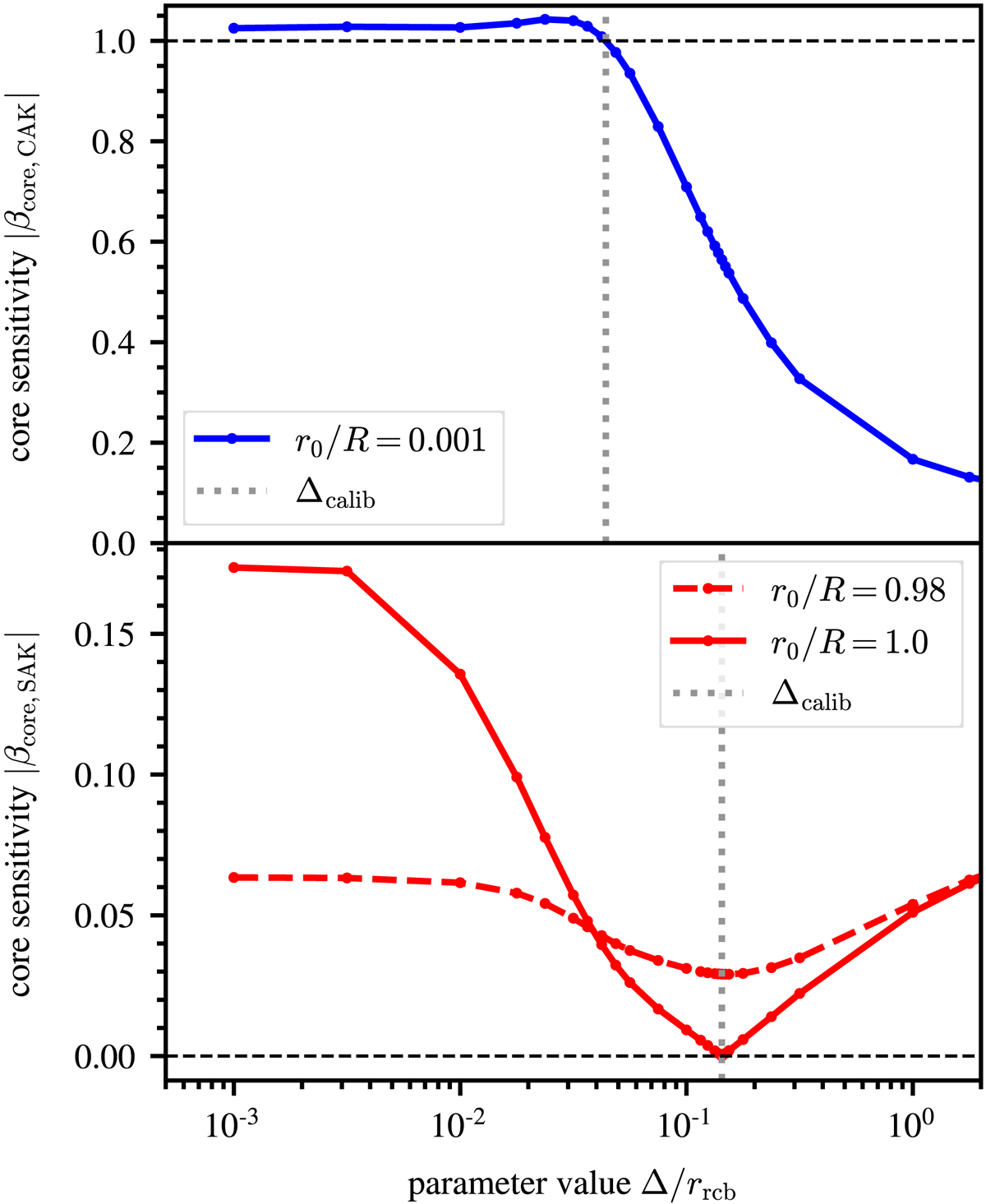
Fig. C.1.

Download original image
Absolute value of the core sensitivity, |βcore|, as a function of the target function width, Δ. The results for the CAK and SAKs are shown in the upper and lower panel, respectively. The CAK has a target radius of r0/R = 0.001 while the SAKs have target radii of r0/R = 0.98 and 1.0. The optimal value of Δ for r0/R = 0.001 and 1.0 are shown with the vertical dotted line in each panel.
Current usage metrics show cumulative count of Article Views (full-text article views including HTML views, PDF and ePub downloads, according to the available data) and Abstracts Views on Vision4Press platform.
Data correspond to usage on the plateform after 2015. The current usage metrics is available 48-96 hours after online publication and is updated daily on week days.
Initial download of the metrics may take a while.