Fig. 4

Download original image
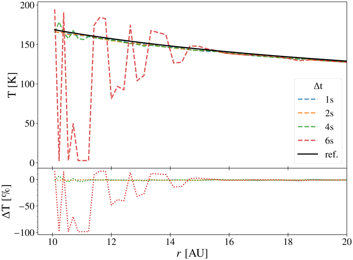
Resulting temperature distribution (top) and relative difference (bottom) of the 1D model discussed in Sect. 3.1 with different temporal step widths At for the time-dependent (dashed) and stationary (solid) method. The number of photon packages per step is set to 103, the total number of photon packages used for the stationary simulation is 108, respectively. Lines for radii larger than 20 AU are overlapping and are therefore not shown.
Current usage metrics show cumulative count of Article Views (full-text article views including HTML views, PDF and ePub downloads, according to the available data) and Abstracts Views on Vision4Press platform.
Data correspond to usage on the plateform after 2015. The current usage metrics is available 48-96 hours after online publication and is updated daily on week days.
Initial download of the metrics may take a while.