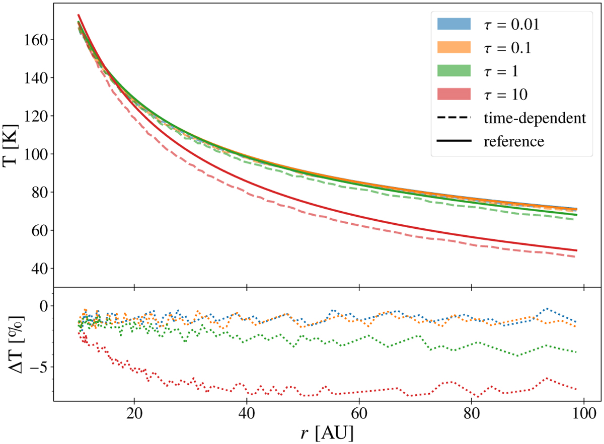
Fig. 6

Download original image
Resulting temperature distributions (top) and relative differences (bottom) of the 1D model for different optical depths τV discussed in Sect. 3.3 for the time-dependent (dashed) and stationary (solid) method. In the case of time-dependency, the temporal step width is fixed at 2 s and the number of photon packages per time step is 103. The total number of photon packages used for the stationary simulations is 108.
Current usage metrics show cumulative count of Article Views (full-text article views including HTML views, PDF and ePub downloads, according to the available data) and Abstracts Views on Vision4Press platform.
Data correspond to usage on the plateform after 2015. The current usage metrics is available 48-96 hours after online publication and is updated daily on week days.
Initial download of the metrics may take a while.