Open Access

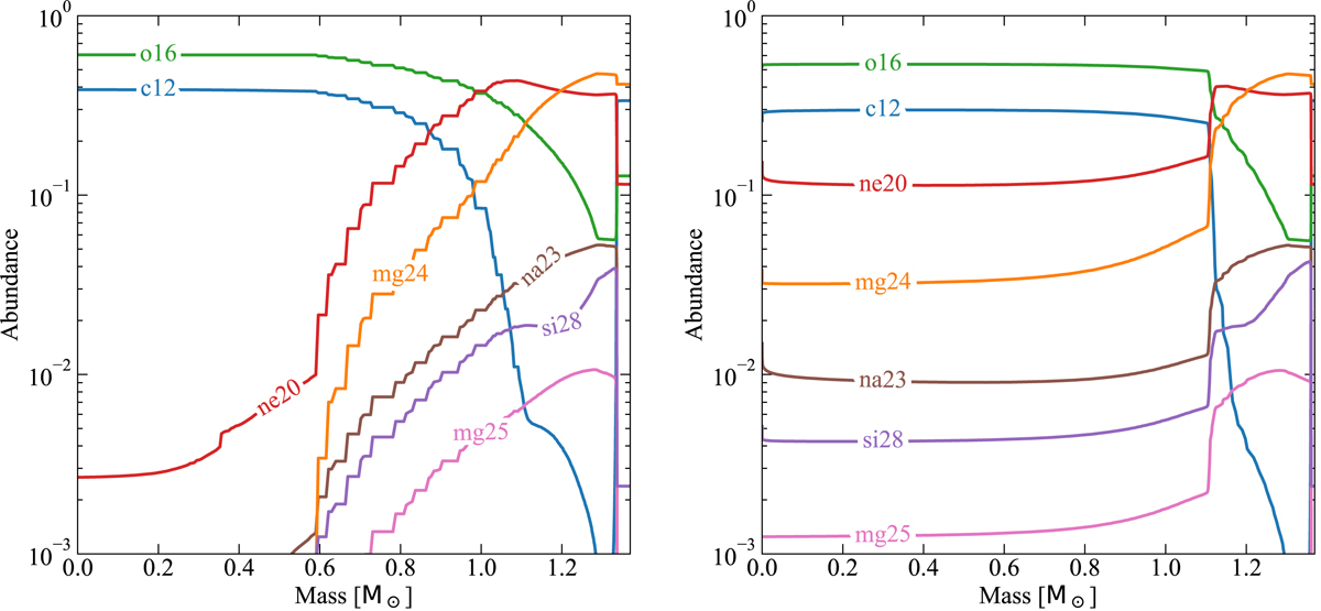
Fig. A.1.

image

Download original image

Abundance profiles of the SERIES I hybrid stellar model with 1.8 M, Z = 0.02; fOV = 0.014. The left panel refers to the structure when log(ρc/g cm−3)≃9.0 (indicated by the black cross-mark in Fig. 3). The right panel shows the final chemical composition of the model.

Current usage metrics show cumulative count of Article Views (full-text article views including HTML views, PDF and ePub downloads, according to the available data) and Abstracts Views on Vision4Press platform.

Data correspond to usage on the plateform after 2015. The current usage metrics is available 48-96 hours after online publication and is updated daily on week days.

Initial download of the metrics may take a while.