Open Access

Fig. 5.

image

Download original image

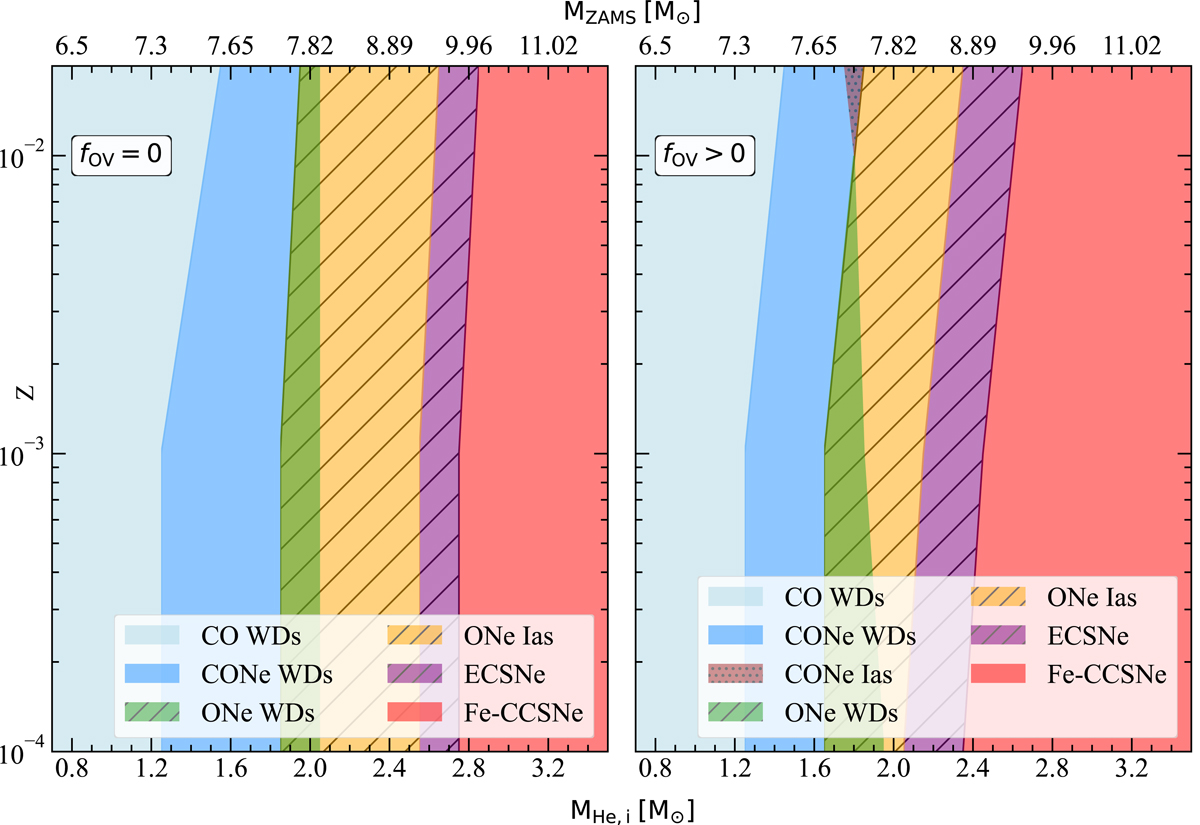
Final fates as a function of initial helium star mass and initial metallicity. The left panel corresponds to models without overshooting, while the right panel corresponds to models with overshooting across convective boundaries (fOV = 0.014, 0.016). Hatched regions show models with ONe cores featuring residual carbon, which evolve either toward an ONe WD, a thermal runaway, or an ECSN. The boundary between ONe SNe Ia and ECSNe corresponds to models with average residual carbon mass fractions of X(12C)≃0.004 (see Sect. 4). The ZAMS masses (of solar metallicity models) were mapped based on Fig. 4 of Farmer et al. (2015). For MZAMS < 7.0 M we extrapolated the mass using the fitting function MZAMS = 2(MHe, core + 2.45). For more details, see Sect. 3.

Current usage metrics show cumulative count of Article Views (full-text article views including HTML views, PDF and ePub downloads, according to the available data) and Abstracts Views on Vision4Press platform.

Data correspond to usage on the plateform after 2015. The current usage metrics is available 48-96 hours after online publication and is updated daily on week days.

Initial download of the metrics may take a while.